🇳🇴 🇬🇧 🇩🇪 🇨🇿 🇫🇮

Meteor, poloha: Sunds 2019-09-20 21:14:41 UTC

Soubor KML  |  InteraktivnĂ­ mapa

Mapa zobrazuje dráhy meteoru. Světlejší čáry ukazují směry od pozorovacích stanic při objevení se meteoru a tmavší čáry, kde byl naposledy viděn. Modrá šipka značí viditelnou dráhu meteoru.

static map
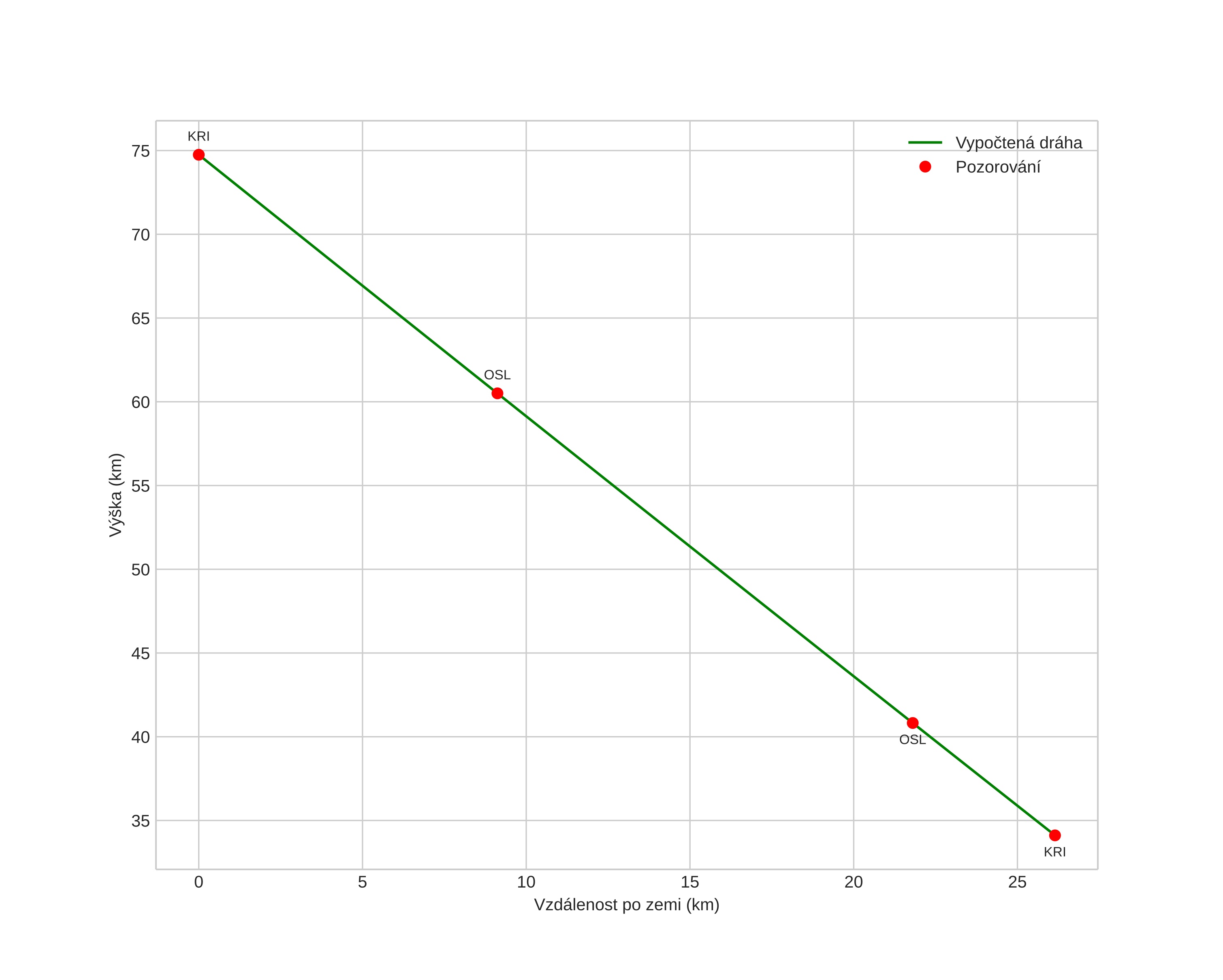
height profile
Atmosférická dráha meteoru:
Počáteční výška: 76,3 km
Konečná výška: 33,3 km
Počáteční poloha: 56,206N 8,573E
Konečná poloha: 56,210N 9,011E
Směr: 88,8°
Sklon: 57,8°
VstupnĂ­ rychlost: 16,6 km/s
Rektascenze radiantu: 18:11 (272,9°)
Deklinace radiantu: 40,4°
MeteorickĂ˝ roj: sporadickĂ˝
Elementy dráhy meteoroidu:
Vzdálenost v periheliu: 1,003 AU
Excentricita: 0,546
Sklon dráhy: 17,8°
Délka vzestupného uzlu: 177,3°
Argument perihelia: 185,3°
Střední anomálie: 358,7°
Epocha: 2019 SEP 20 21:14:41
orbit plot

NeinteraktivnĂ­ graf | InteraktivnĂ­ graf

position vs time
speed and acceleration