🇳🇴 🇬🇧 🇩🇪 🇨🇿 🇫🇮

Meteor, poloha: Skjærhalden 2019-09-21 02:56:00 UTC

Soubor KML  |  InteraktivnĂ­ mapa

Mapa zobrazuje dráhy meteoru. Světlejší čáry ukazují směry od pozorovacích stanic při objevení se meteoru a tmavší čáry, kde byl naposledy viděn. Modrá šipka značí viditelnou dráhu meteoru.

static map
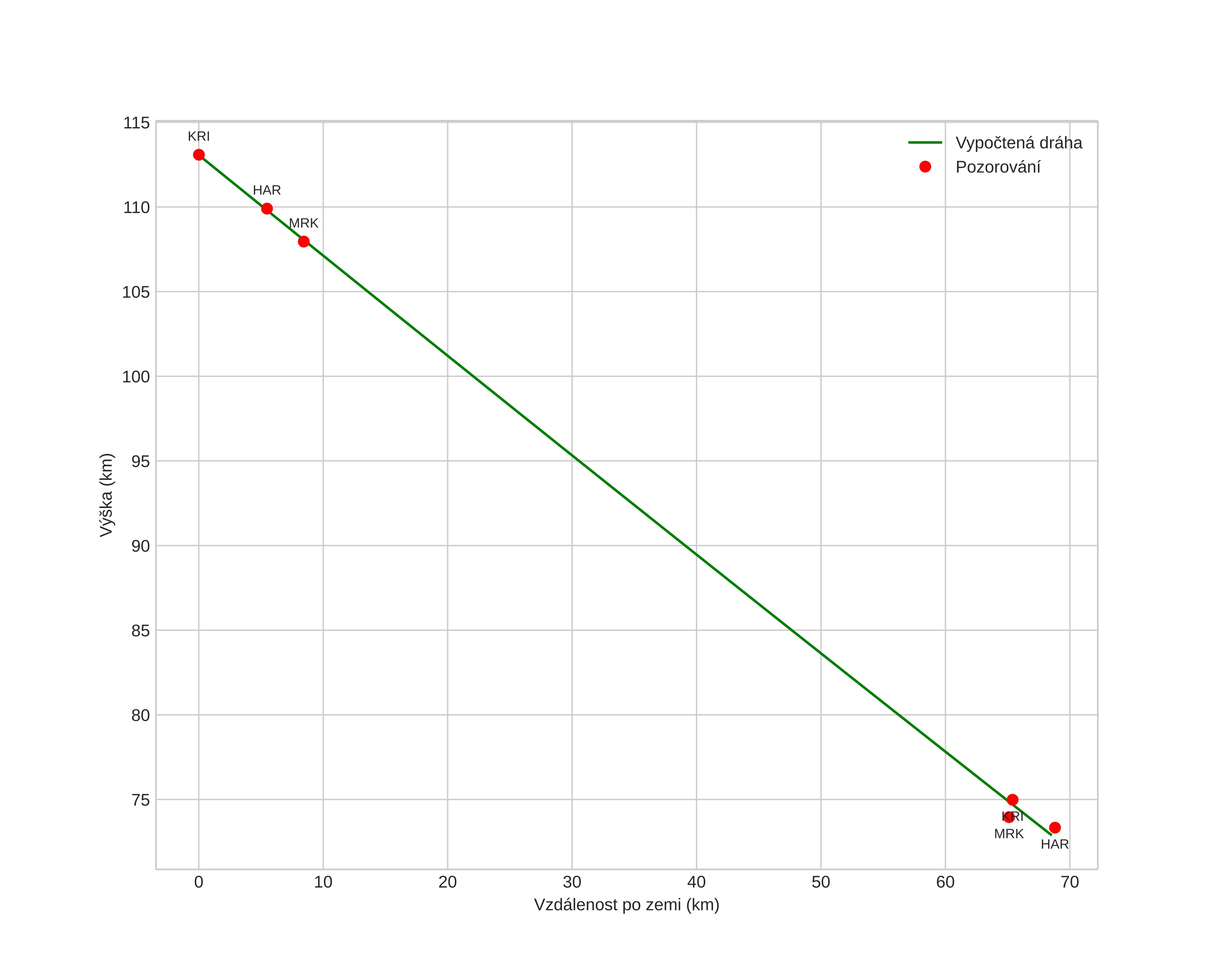
height profile
Atmosférická dráha meteoru:
Počáteční výška: 112,5 km
Konečná výška: 73,3 km
Počáteční poloha: 58,638N 11,758E
Konečná poloha: 58,904N 10,723E
Směr: 296,8°
Sklon: 30,5°
VstupnĂ­ rychlost: 69,5 km/s
Rektascenze radiantu: 07:09 (107,4°)
Deklinace radiantu: 13,0°
MeteorickĂ˝ roj: sporadickĂ˝
Elementy dráhy meteoroidu:
Vzdálenost v periheliu: 0,725 AU
Excentricita: 0,998
Sklon dráhy: 161,7°
Délka vzestupného uzlu: 357,6°
Argument perihelia: 296,3°
Střední anomálie: 0,0°
Epocha: 2019 SEP 21 02:56:00
orbit plot

NeinteraktivnĂ­ graf | InteraktivnĂ­ graf

position vs time
speed and acceleration