🇳🇴 🇬🇧 🇩🇪 🇨🇿 🇫🇮

Meteor, poloha: Oppdal 2019-10-01 01:28:09 UTC

Soubor KML  |  InteraktivnĂ­ mapa

Mapa zobrazuje dráhy meteoru. Světlejší čáry ukazují směry od pozorovacích stanic při objevení se meteoru a tmavší čáry, kde byl naposledy viděn. Modrá šipka značí viditelnou dráhu meteoru.

static map
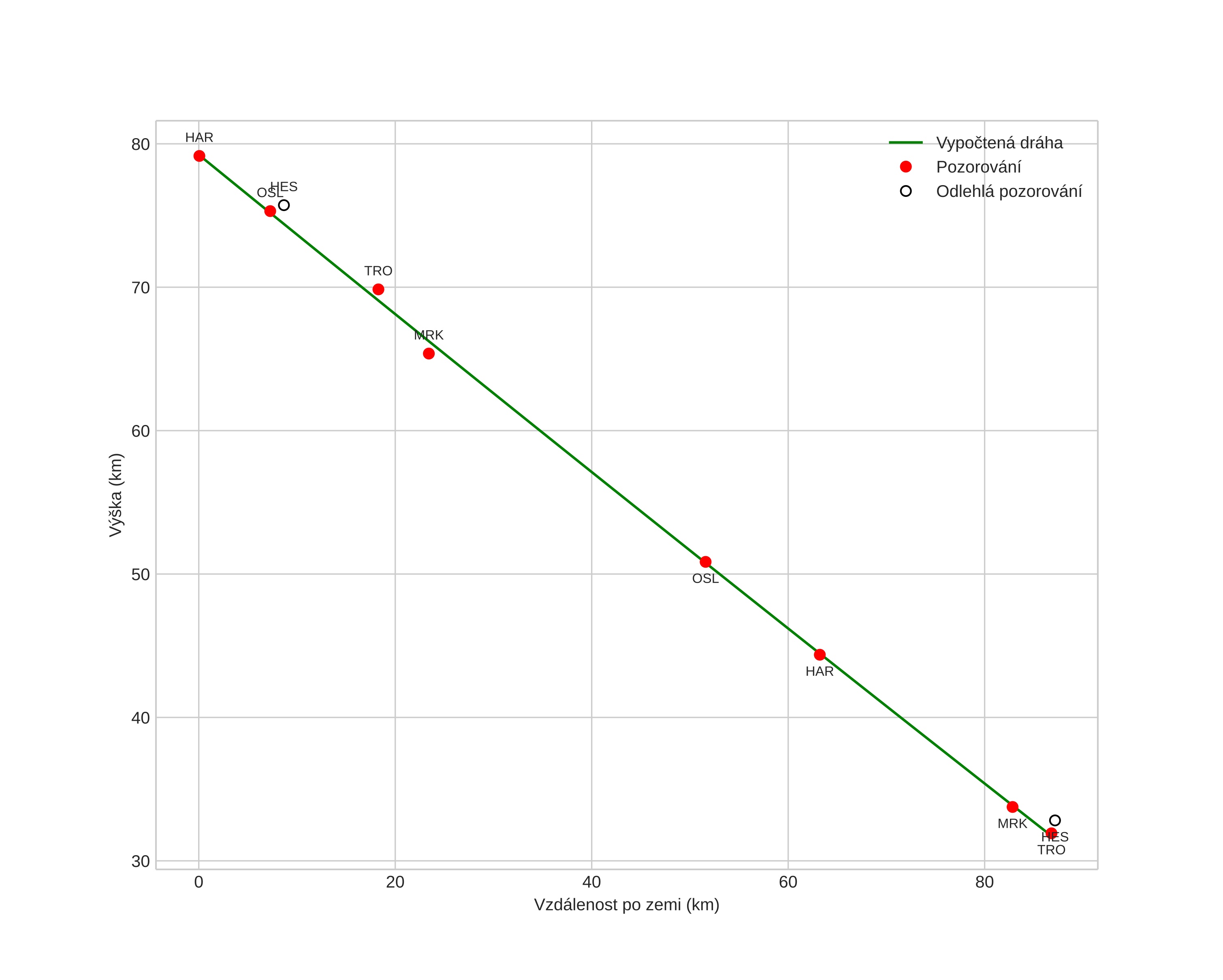
height profile
Atmosférická dráha meteoru:
Počáteční výška: 83,4 km
Konečná výška: 33,4 km
Počáteční poloha: 62,316N 8,448E
Konečná poloha: 62,884N 9,702E
Směr: 44,9°
Sklon: 29,0°
VstupnĂ­ rychlost: 15,6 km/s
Rektascenze radiantu: 23:46 (356,7°)
Deklinace radiantu: -2,9°
MeteorickĂ˝ roj: sporadickĂ˝
Elementy dráhy meteoroidu:
Vzdálenost v periheliu: 0,802 AU
Excentricita: 0,442
Sklon dráhy: 0,5°
Délka vzestupného uzlu: 7,4°
Argument perihelia: 69,5°
Střední anomálie: 331,7°
Epocha: 2019 OCT 01 01:28:09
orbit plot

NeinteraktivnĂ­ graf | InteraktivnĂ­ graf

position vs time
speed and acceleration