🇳🇴 🇬🇧 🇩🇪 🇨🇿 🇫🇮

Meteor, poloha: ElnesvĂĄgen 2019-10-04 03:16:08 UTC

Soubor KML  |  InteraktivnĂ­ mapa

Mapa zobrazuje dráhy meteoru. Světlejší čáry ukazují směry od pozorovacích stanic při objevení se meteoru a tmavší čáry, kde byl naposledy viděn. Modrá šipka značí viditelnou dráhu meteoru.

static map
height profile
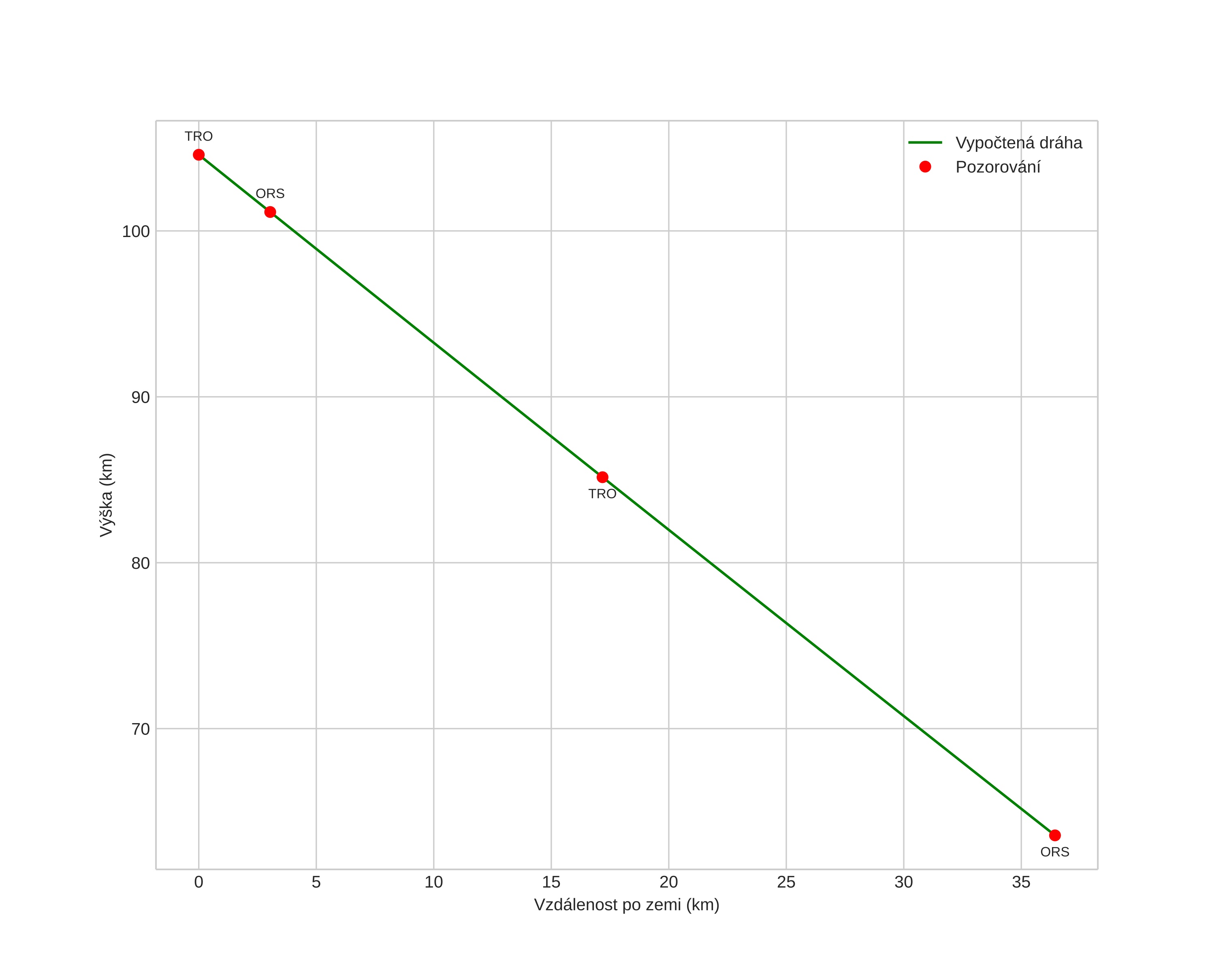
Atmosférická dráha meteoru:
Počáteční výška: 106,6 km
Konečná výška: 63,5 km
Počáteční poloha: 63,956N 7,541E
Konečná poloha: 64,076N 6,809E
Směr: 290,8°
Sklon: 48,6°
VstupnĂ­ rychlost: 68,4 km/s
Rektascenze radiantu: 07:50 (117,5°)
Deklinace radiantu: 34,6°
MeteorickĂ˝ roj: sporadickĂ˝
Elementy dráhy meteoroidu:
Vzdálenost v periheliu: 0,868 AU
Excentricita: 0,831
Sklon dráhy: 155,6°
Délka vzestupného uzlu: 190,3°
Argument perihelia: 135,1°
Střední anomálie: 2,5°
Epocha: 2019 OCT 04 03:16:08
orbit plot

NeinteraktivnĂ­ graf | InteraktivnĂ­ graf

position vs time
speed and acceleration