🇳🇴 🇬🇧 🇩🇪 🇨🇿 🇫🇮

Meteor, poloha: Vigrestad 2019-10-06 21:38:58 UTC

Soubor KML  |  InteraktivnĂ­ mapa

Mapa zobrazuje dráhy meteoru. Světlejší čáry ukazují směry od pozorovacích stanic při objevení se meteoru a tmavší čáry, kde byl naposledy viděn. Modrá šipka značí viditelnou dráhu meteoru.

static map
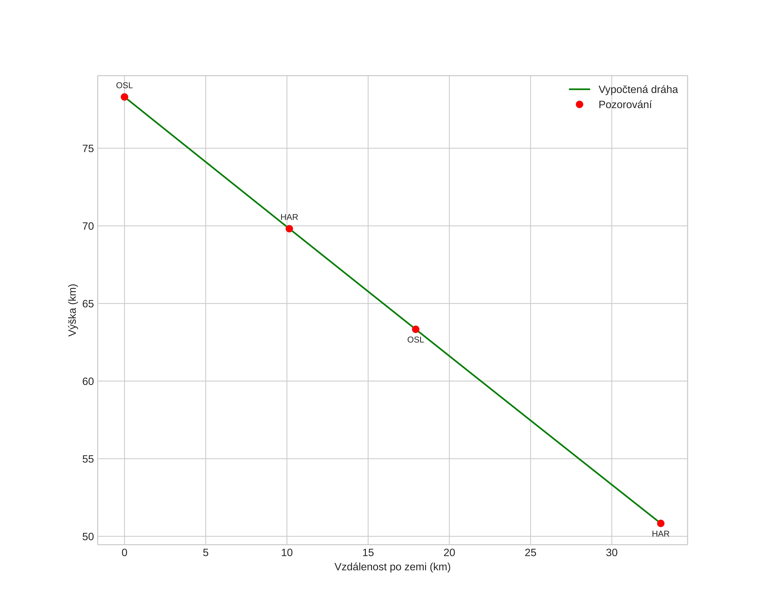
height profile
Atmosférická dráha meteoru:
Počáteční výška: 77,1 km
Konečná výška: 51,9 km
Počáteční poloha: 57,534N 5,148E
Konečná poloha: 57,860N 5,279E
Směr: 12,1°
Sklon: 34,2°
VstupnĂ­ rychlost: 38,6 km/s
Rektascenze radiantu: 22:17 (334,4°)
Deklinace radiantu: 0,9°
MeteorickĂ˝ roj: sporadickĂ˝
Elementy dráhy meteoroidu:
Vzdálenost v periheliu: 0,825 AU
Excentricita: 2,676
Sklon dráhy: 7,6°
Délka vzestupného uzlu: 193,1°
Argument perihelia: 220,5°
Střední anomálie: -52,3°
Epocha: 2019 OCT 06 21:38:58
orbit plot

NeinteraktivnĂ­ graf | InteraktivnĂ­ graf

position vs time
speed and acceleration