🇳🇴 🇬🇧 🇩🇪 🇨🇿 🇫🇮

Meteor, poloha: Malmberget 2019-10-08 00:13:45 UTC

Soubor KML  |  Interaktivní mapa

Mapa zobrazuje dráhy meteoru. Světlejší čáry ukazují směry od pozorovacích stanic při objevení se meteoru a tmavší čáry, kde byl naposledy viděn. Modrá šipka značí viditelnou dráhu meteoru.

static map
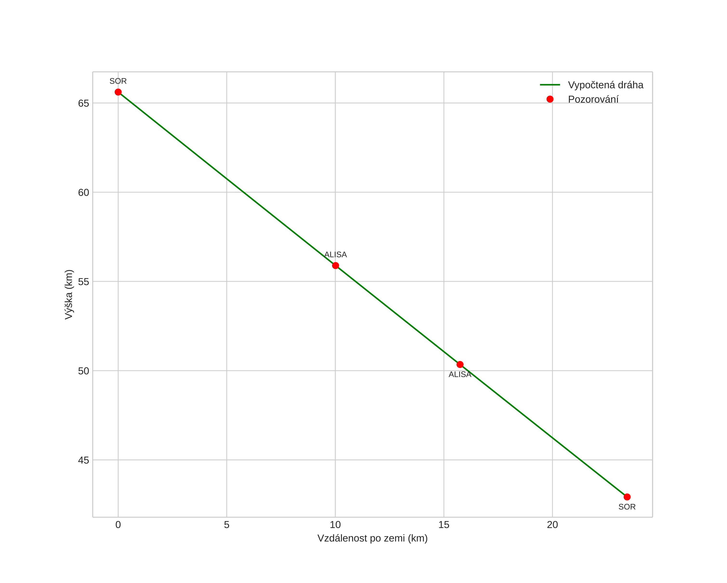
height profile
Atmosférická dráha meteoru:
Počáteční výška: 64,3 km
Konečná výška: 50,2 km
Počáteční poloha: 68,155N 21,207E
Konečná poloha: 68,094N 21,528E
Směr: 116,9°
Sklon: 43,4°
Vstupní rychlost: 18,9 km/s
Rektascenze radiantu: 20:11 (302,9°)
Deklinace radiantu: 44,5°
Meteorický roj: sporadický
Elementy dráhy meteoroidu:
Vzdálenost v periheliu: 0,975 AU
Excentricita: 0,654
Sklon dráhy: 21,1°
Délka vzestupného uzlu: 194,2°
Argument perihelia: 200,1°
Střední anomálie: 356,8°
Epocha: 2019 OCT 08 00:13:45
orbit plot

Neinteraktivní graf | Interaktivní graf

position vs time
speed and acceleration