🇳🇴 🇬🇧 🇩🇪 🇨🇿 🇫🇮

Meteor, poloha: Måløy 2019-10-15 18:57:48 UTC

Soubor KML  |  InteraktivnĂ­ mapa

Mapa zobrazuje dráhy meteoru. Světlejší čáry ukazují směry od pozorovacích stanic při objevení se meteoru a tmavší čáry, kde byl naposledy viděn. Modrá šipka značí viditelnou dráhu meteoru.

static map
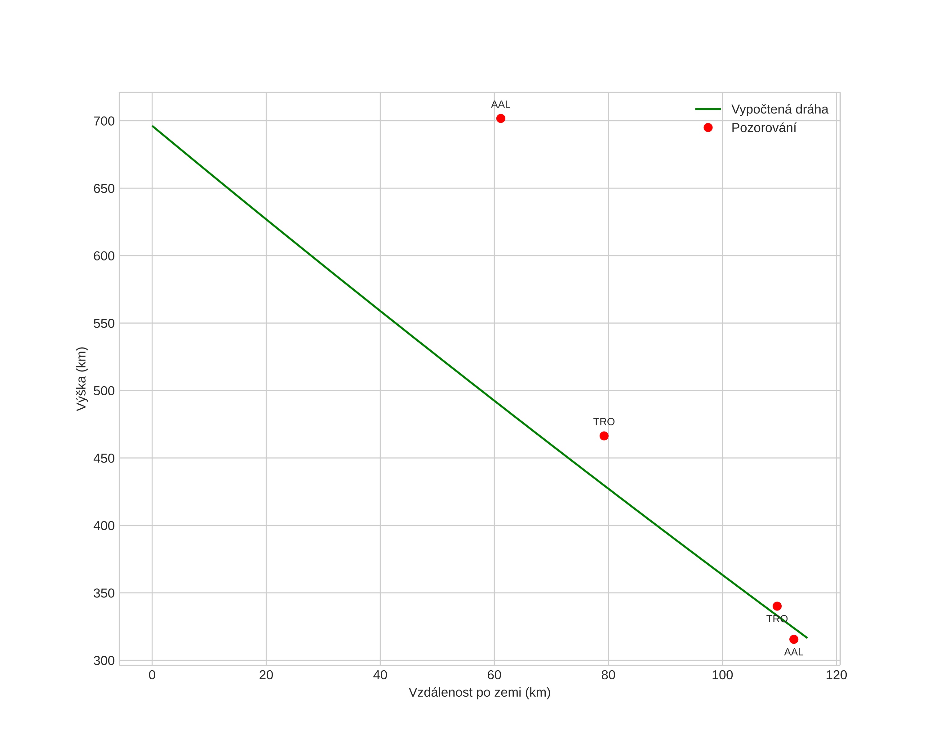
height profile
Atmosférická dráha meteoru:
Počáteční výška: 694,9 km
Konečná výška: 316,3 km
Počáteční poloha: 61,275N 4,513E
Konečná poloha: 62,299N 4,149E
Směr: 350,6°
Sklon: 73,0°
VstupnĂ­ rychlost: 245,6 km/s
Rektascenze radiantu: 21:05 (316,5°)
Deklinace radiantu: 44,2°
MeteorickĂ˝ roj: sporadickĂ˝
Elementy dráhy meteoroidu:
Vzdálenost v periheliu: 0,913 AU
Excentricita: 67,516
Sklon dráhy: 60,3°
Délka vzestupného uzlu: 201,9°
Argument perihelia: 203,8°
Střední anomálie: -1657,6°
Epocha: 2019 OCT 15 18:57:48
orbit plot

NeinteraktivnĂ­ graf | InteraktivnĂ­ graf

position vs time
speed and acceleration