🇳🇴 🇬🇧 🇩🇪 🇨🇿 🇫🇮

Meteor, poloha: Kiruna 2019-10-16 00:38:10 UTC

Soubor KML  |  InteraktivnĂ­ mapa

Mapa zobrazuje dráhy meteoru. Světlejší čáry ukazují směry od pozorovacích stanic při objevení se meteoru a tmavší čáry, kde byl naposledy viděn. Modrá šipka značí viditelnou dráhu meteoru.

static map
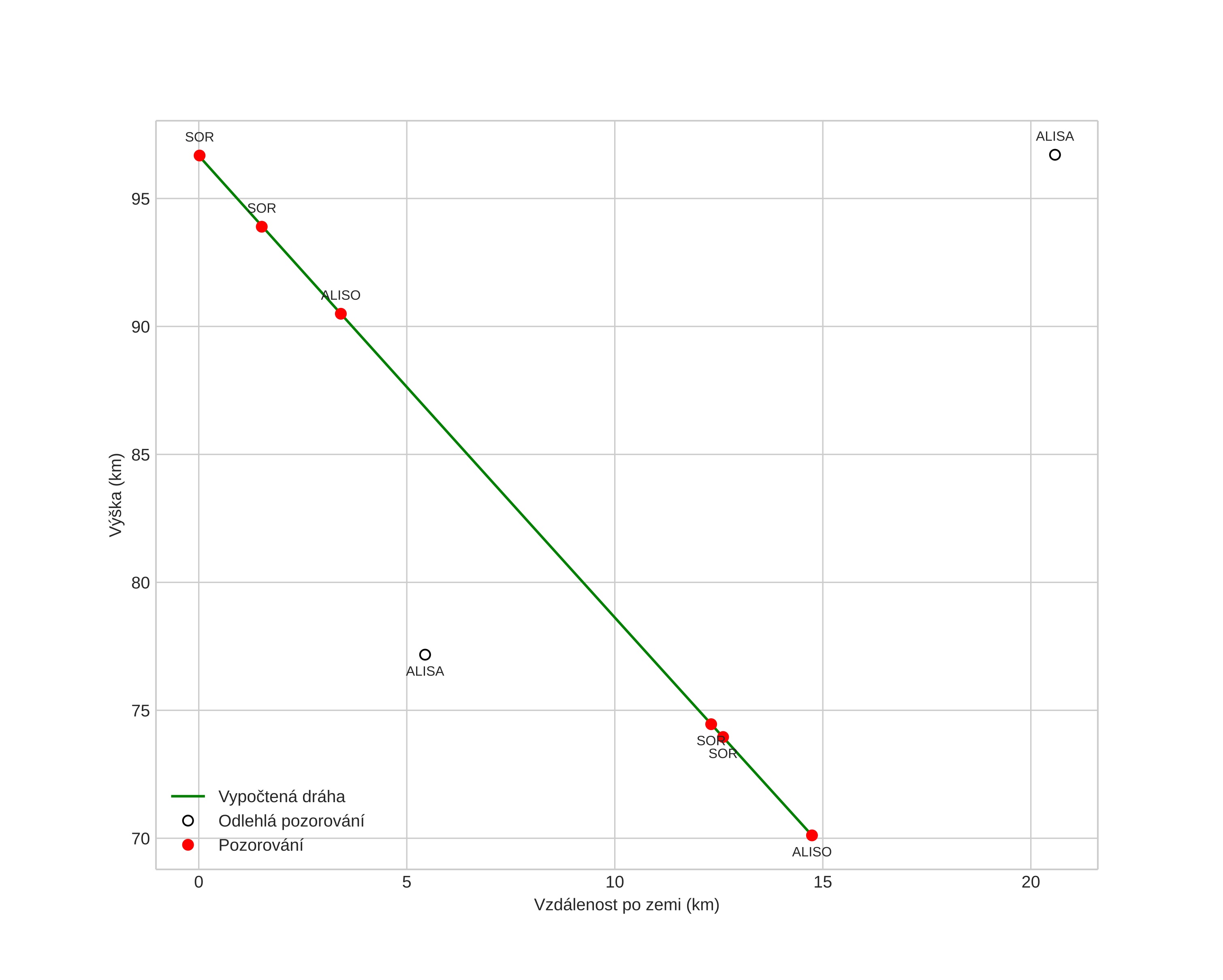
height profile
Atmosférická dráha meteoru:
Počáteční výška: 99,6 km
Konečná výška: 69,8 km
Počáteční poloha: 68,463N 21,070E
Konečná poloha: 68,314N 21,059E
Směr: 181,5°
Sklon: 60,9°
VstupnĂ­ rychlost: 40,9 km/s
Rektascenze radiantu: 15:26 (231,6°)
Deklinace radiantu: 82,1°
MeteorickĂ˝ roj: sporadickĂ˝
Elementy dráhy meteoroidu:
Vzdálenost v periheliu: 0,995 AU
Excentricita: 0,942
Sklon dráhy: 64,6°
Délka vzestupného uzlu: 202,1°
Argument perihelia: 184,9°
Střední anomálie: 360,0°
Epocha: 2019 OCT 16 00:38:10
orbit plot

NeinteraktivnĂ­ graf | InteraktivnĂ­ graf

position vs time
speed and acceleration