🇳🇴 🇬🇧 🇩🇪 🇨🇿 🇫🇮

Meteor, poloha: Evenskjer 2019-10-20 02:06:04 UTC

Soubor KML  |  InteraktivnĂ­ mapa

Mapa zobrazuje dráhy meteoru. Světlejší čáry ukazují směry od pozorovacích stanic při objevení se meteoru a tmavší čáry, kde byl naposledy viděn. Modrá šipka značí viditelnou dráhu meteoru.

static map
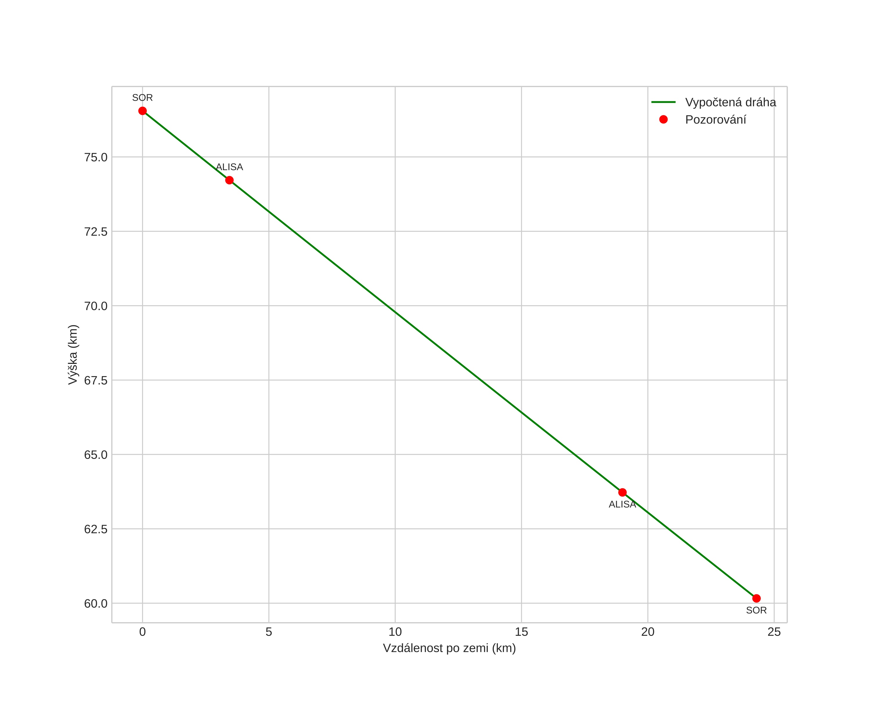
height profile
Atmosférická dráha meteoru:
Počáteční výška: 75,9 km
Konečná výška: 60,0 km
Počáteční poloha: 68,436N 16,832E
Konečná poloha: 68,237N 16,687E
Směr: 195,0°
Sklon: 34,7°
VstupnĂ­ rychlost: 28,7 km/s
Rektascenze radiantu: 15:42 (235,6°)
Deklinace radiantu: 53,0°
MeteorickĂ˝ roj: sporadickĂ˝
Elementy dráhy meteoroidu:
Vzdálenost v periheliu: 0,932 AU
Excentricita: 0,748
Sklon dráhy: 40,0°
Délka vzestupného uzlu: 206,1°
Argument perihelia: 148,2°
Střední anomálie: 3,2°
Epocha: 2019 OCT 20 02:06:04
orbit plot

NeinteraktivnĂ­ graf | InteraktivnĂ­ graf

position vs time
speed and acceleration