🇳🇴 🇬🇧 🇩🇪 🇨🇿 🇫🇮

Meteor, poloha: Tingvoll 2019-10-28 19:27:38 UTC

Soubor KML  |  InteraktivnĂ­ mapa

Mapa zobrazuje dráhy meteoru. Světlejší čáry ukazují směry od pozorovacích stanic při objevení se meteoru a tmavší čáry, kde byl naposledy viděn. Modrá šipka značí viditelnou dráhu meteoru.

static map
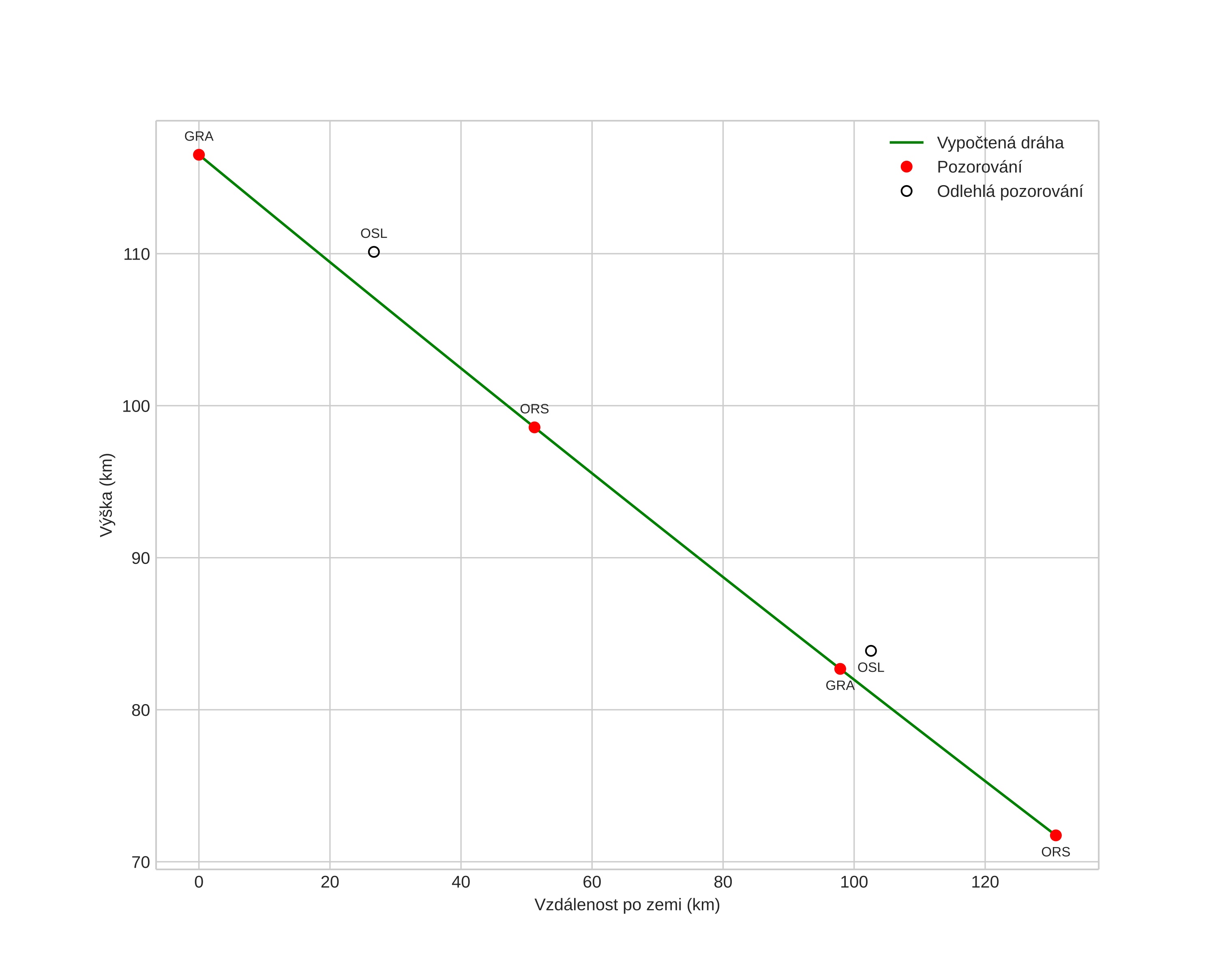
height profile
Atmosférická dráha meteoru:
Počáteční výška: 107,1 km
Konečná výška: 75,0 km
Počáteční poloha: 63,939N 8,552E
Konečná poloha: 63,075N 8,321E
Směr: 186,9°
Sklon: 18,4°
VstupnĂ­ rychlost: 65,5 km/s
Rektascenze radiantu: 09:52 (148,1°)
Deklinace radiantu: 43,7°
MeteorickĂ˝ roj: sporadickĂ˝
Elementy dráhy meteoroidu:
Vzdálenost v periheliu: 0,944 AU
Excentricita: 0,924
Sklon dráhy: 129,6°
Délka vzestupného uzlu: 214,8°
Argument perihelia: 153,8°
Střední anomálie: 0,4°
Epocha: 2019 OCT 28 19:27:38
orbit plot

NeinteraktivnĂ­ graf | InteraktivnĂ­ graf

position vs time
speed and acceleration