🇳🇴 🇬🇧 🇩🇪 🇨🇿 🇫🇮

Meteor, poloha: Noresund 2019-10-29 01:37:46 UTC

Soubor KML  |  InteraktivnĂ­ mapa

Mapa zobrazuje dráhy meteoru. Světlejší čáry ukazují směry od pozorovacích stanic při objevení se meteoru a tmavší čáry, kde byl naposledy viděn. Modrá šipka značí viditelnou dráhu meteoru.

static map
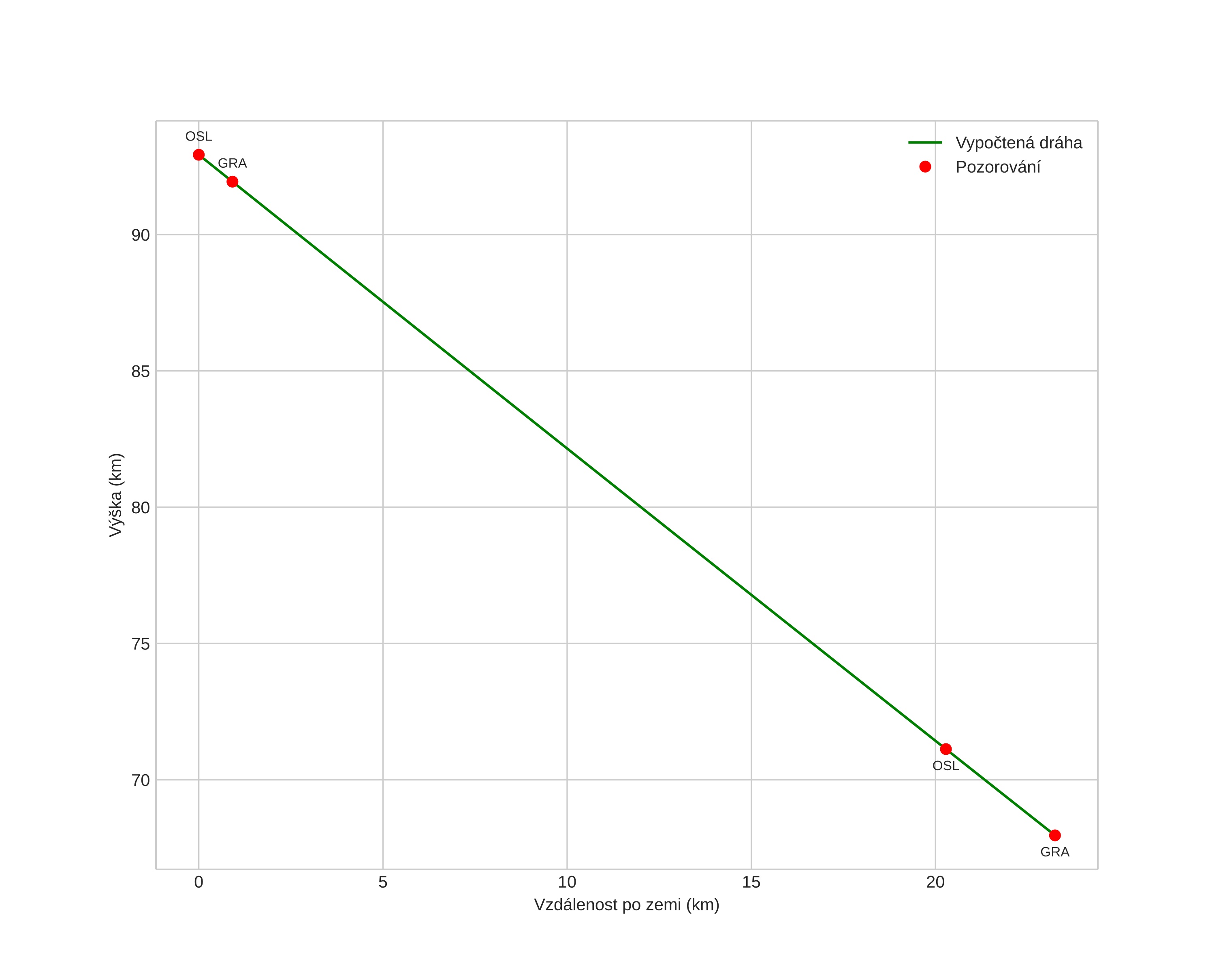
height profile
Atmosférická dráha meteoru:
Počáteční výška: 93,8 km
Konečná výška: 67,5 km
Počáteční poloha: 60,359N 9,284E
Konečná poloha: 60,157N 9,483E
Směr: 153,8°
Sklon: 46,5°
VstupnĂ­ rychlost: 28,6 km/s
Rektascenze radiantu: 20:32 (308,1°)
Deklinace radiantu: 67,5°
MeteorickĂ˝ roj: sporadickĂ˝
Elementy dráhy meteoroidu:
Vzdálenost v periheliu: 0,964 AU
Excentricita: 0,909
Sklon dráhy: 39,0°
Délka vzestupného uzlu: 215,1°
Argument perihelia: 200,4°
Střední anomálie: 359,6°
Epocha: 2019 OCT 29 01:37:46
orbit plot

NeinteraktivnĂ­ graf | InteraktivnĂ­ graf

position vs time
speed and acceleration