🇳🇴 🇬🇧 🇩🇪 🇨🇿 🇫🇮

Meteor Herren yllä 2019-10-29 18:06:03 UTC

KML-tiedosto  |  Interaktiivinen kartta

Kartta näyttää meteorin suuntahavainnot. Vaaleammat viivat näyttävät suunnat havaintoasemilta meteorin ilmestyessä, ja tummemmat viivat näyttävät, missä se viimeksi nähtiin. Sininen nuoli näyttää meteorin näkyvän lennon.

static map
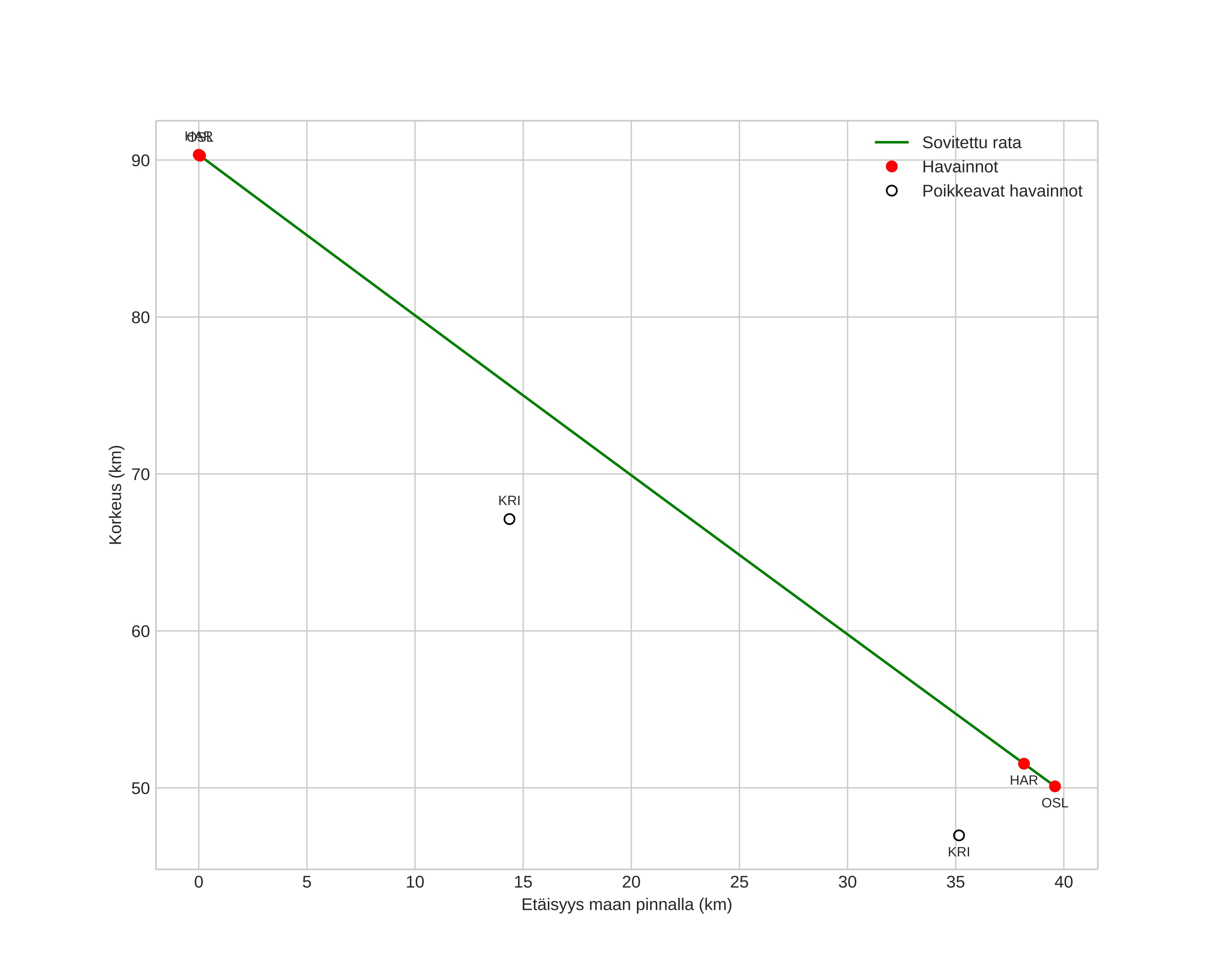
height profile
Meteorin ilmakehärata:
Alkukorkeus: 76,8 km
Loppukorkeus: 44,2 km
Alkupiste: 58,796N 9,670E
Loppupiste: 59,043N 9,401E
Suunta: 330,8°
Kallistuskulma: 46,0°
Tulonopeus: 15,7 km/s
Radiantin R,A,: 22:42 (340,6°)
Radiantin Dekl,: 9,7°
Meteoriparvi: Sporadinen
Meteoroidin rataelementit:
Perihelietäisyys: 0,951 AU
Eksentrisyys: 0,705
Inklinaatio: 4,7°
Nousevan solmun pituus: 215,7°
Perihelin argumentti: 206,2°
Keskianomalia: 356,7°
Epookki: 2019 OCT 29 18:06:03
orbit plot

Ei-interaktiivinen kuvaaja | Interaktiivinen kuvaaja

position vs time
speed and acceleration