🇳🇴 🇬🇧 🇩🇪 🇨🇿 🇫🇮

Meteor, poloha: Sunndalsøra 2019-11-03 18:26:44 UTC

Soubor KML  |  InteraktivnĂ­ mapa

Mapa zobrazuje dráhy meteoru. Světlejší čáry ukazují směry od pozorovacích stanic při objevení se meteoru a tmavší čáry, kde byl naposledy viděn. Modrá šipka značí viditelnou dráhu meteoru.

static map
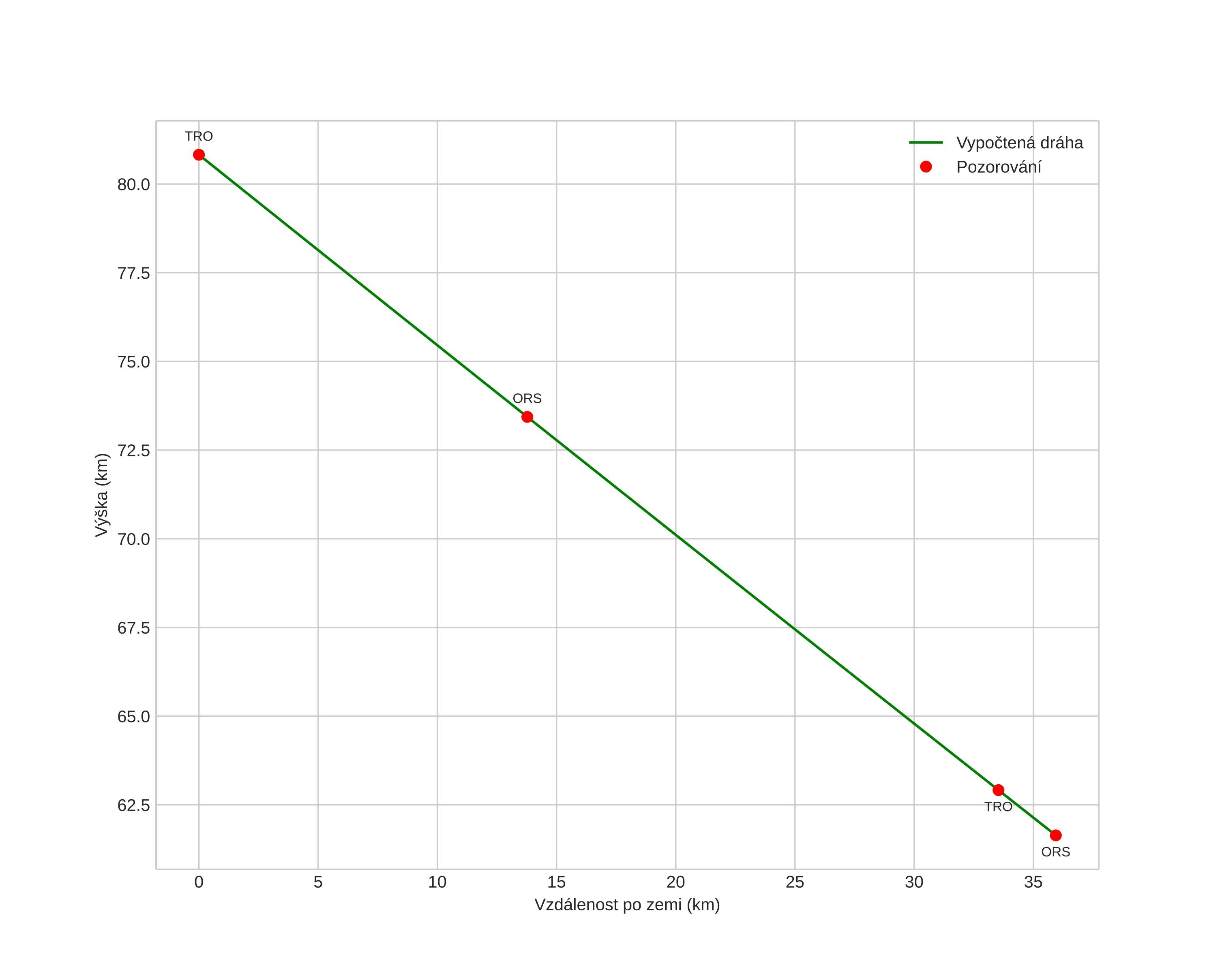
height profile
Atmosférická dráha meteoru:
Počáteční výška: 81,6 km
Konečná výška: 63,3 km
Počáteční poloha: 62,372N 9,429E
Konečná poloha: 62,460N 8,802E
Směr: 287,2°
Sklon: 28,5°
VstupnĂ­ rychlost: 22,4 km/s
Rektascenze radiantu: 02:08 (32,2°)
Deklinace radiantu: 13,3°
MeteorickĂ˝ roj: sporadickĂ˝
Elementy dráhy meteoroidu:
Vzdálenost v periheliu: 0,664 AU
Excentricita: 0,720
Sklon dráhy: 0,1°
Délka vzestupného uzlu: 220,1°
Argument perihelia: 258,5°
Střední anomálie: 348,2°
Epocha: 2019 NOV 03 18:26:44
orbit plot

NeinteraktivnĂ­ graf | InteraktivnĂ­ graf

position vs time
speed and acceleration