🇳🇴 🇬🇧 🇩🇪 🇨🇿 🇫🇮

Meteor Arjeplogin yllä 2019-11-04 03:51:33 UTC

KML-tiedosto  |  Interaktiivinen kartta

Kartta näyttää meteorin suuntahavainnot. Vaaleammat viivat näyttävät suunnat havaintoasemilta meteorin ilmestyessä, ja tummemmat viivat näyttävät, missä se viimeksi nähtiin. Sininen nuoli näyttää meteorin näkyvän lennon.

static map
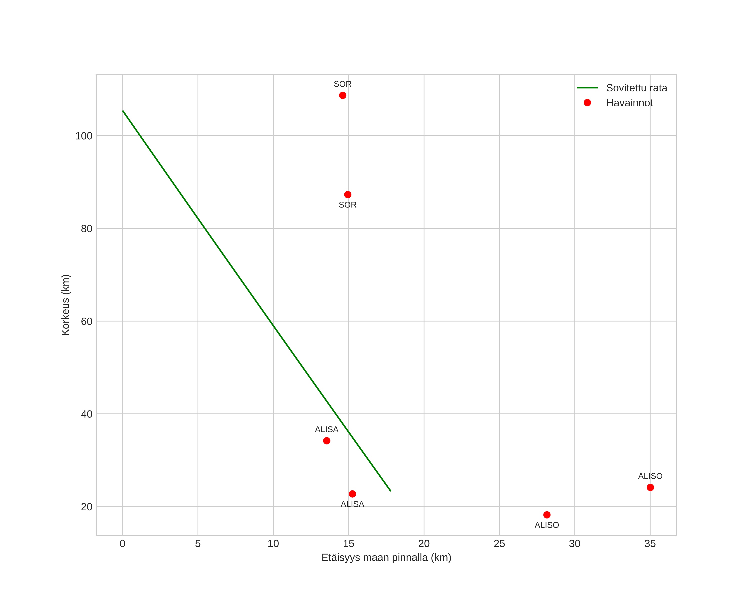
height profile
Meteorin ilmakehärata:
Alkukorkeus: 101,1 km
Loppukorkeus: 24,2 km
Alkupiste: 67,298N 18,433E
Loppupiste: 67,267N 17,994E
Suunta: 260,1°
Kallistuskulma: 76,0°
Tulonopeus: 52,6 km/s
Radiantin R,A,: 10:16 (154,1°)
Radiantin Dekl,: 65,7°
Meteoriparvi: Sporadinen
Meteoroidin rataelementit:
Perihelietäisyys: 0,980 AU
Eksentrisyys: 0,755
Inklinaatio: 94,2°
Nousevan solmun pituus: 221,2°
Perihelin argumentti: 193,4°
Keskianomalia: 358,8°
Epookki: 2019 NOV 04 03:51:33
orbit plot

Ei-interaktiivinen kuvaaja | Interaktiivinen kuvaaja

position vs time
speed and acceleration