🇳🇴 🇬🇧 🇩🇪 🇨🇿 🇫🇮

Meteor, poloha: Tomra 2019-11-04 04:42:19 UTC

Soubor KML  |  InteraktivnĂ­ mapa

Mapa zobrazuje dráhy meteoru. Světlejší čáry ukazují směry od pozorovacích stanic při objevení se meteoru a tmavší čáry, kde byl naposledy viděn. Modrá šipka značí viditelnou dráhu meteoru.

static map
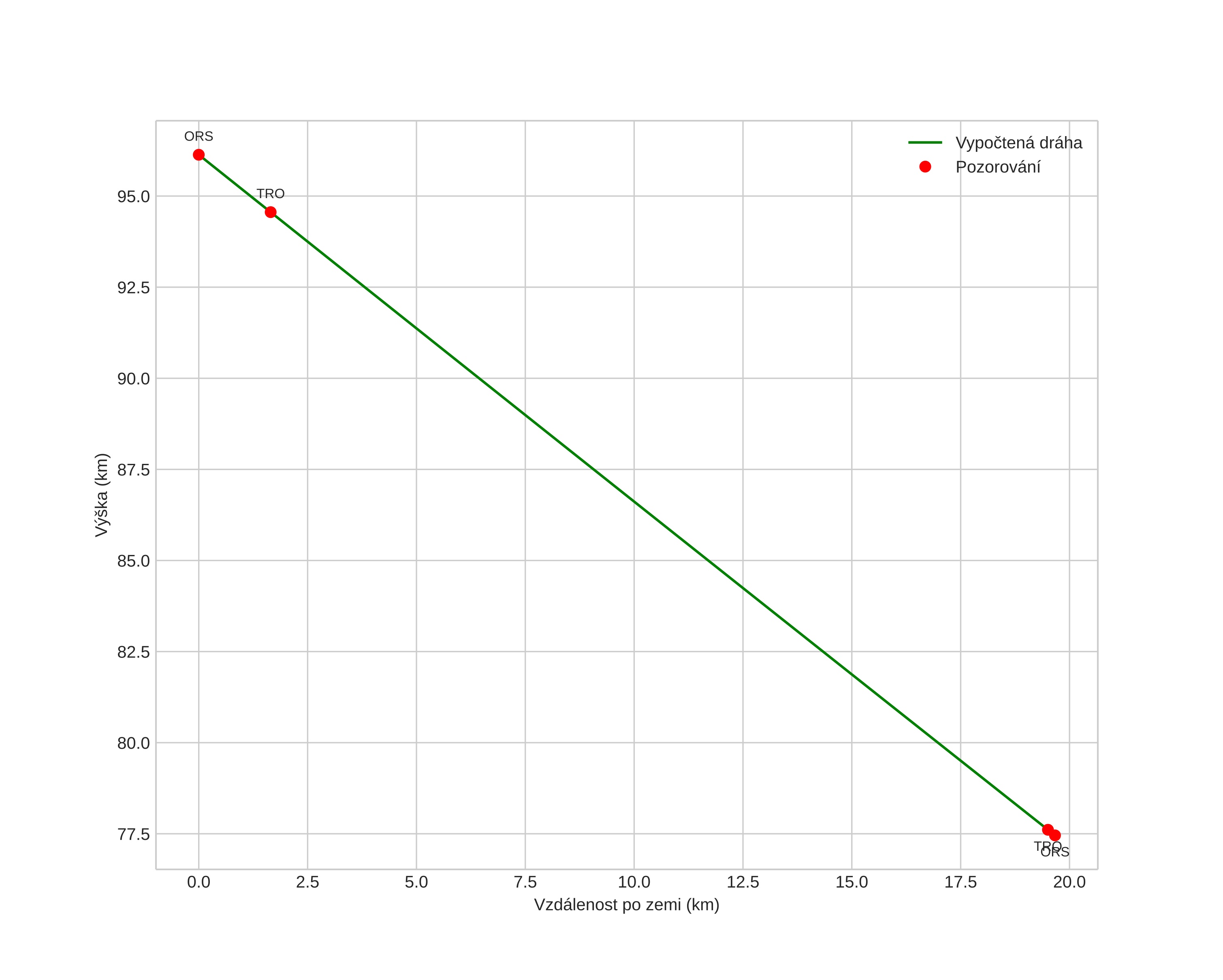
height profile
Atmosférická dráha meteoru:
Počáteční výška: 103,4 km
Konečná výška: 78,1 km
Počáteční poloha: 62,798N 6,891E
Konečná poloha: 62,555N 6,874E
Směr: 181,8°
Sklon: 43,2°
VstupnĂ­ rychlost: 33,3 km/s
Rektascenze radiantu: 19:51 (297,8°)
Deklinace radiantu: 68,9°
MeteorickĂ˝ roj: sporadickĂ˝
Elementy dráhy meteoroidu:
Vzdálenost v periheliu: 0,975 AU
Excentricita: 1,217
Sklon dráhy: 44,3°
Délka vzestupného uzlu: 221,2°
Argument perihelia: 194,2°
Střední anomálie: -1,0°
Epocha: 2019 NOV 04 04:42:19
orbit plot

NeinteraktivnĂ­ graf | InteraktivnĂ­ graf

position vs time
speed and acceleration