🇳🇴 🇬🇧 🇩🇪 🇨🇿 🇫🇮

Meteor, poloha: Sørreisa 2019-11-06 05:47:39 UTC

Soubor KML  |  Interaktivní mapa

Mapa zobrazuje dráhy meteoru. Světlejší čáry ukazují směry od pozorovacích stanic při objevení se meteoru a tmavší čáry, kde byl naposledy viděn. Modrá šipka značí viditelnou dráhu meteoru.

static map
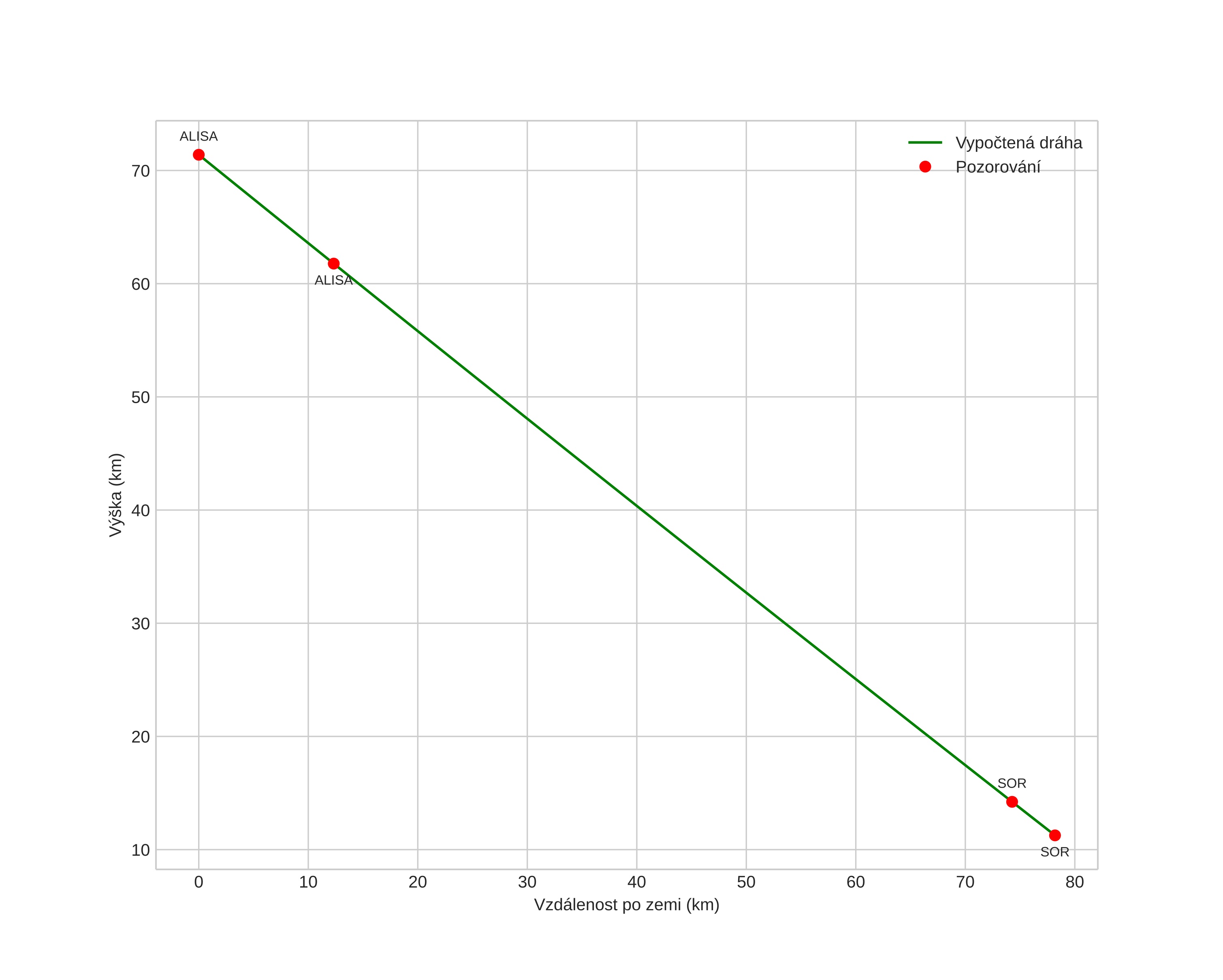
height profile
Atmosférická dráha meteoru:
Počáteční výška: 76,0 km
Konečná výška: 11,2 km
Počáteční poloha: 68,409N 18,778E
Konečná poloha: 69,075N 18,200E
Směr: 342,8°
Sklon: 39,9°
Vstupní rychlost: 15,3 km/s
Rektascenze radiantu: 10:59 (164,8°)
Deklinace radiantu: 9,2°
Meteorický roj: sporadický
Elementy dráhy meteoroidu:
Vzdálenost v periheliu: 0,319 AU
Excentricita: 0,521
Sklon dráhy: 1,3°
Délka vzestupného uzlu: 223,2°
Argument perihelia: 12,1°
Střední anomálie: 147,8°
Epocha: 2019 NOV 06 05:47:39
orbit plot

Neinteraktivní graf | Interaktivní graf

position vs time
speed and acceleration