🇳🇴 🇬🇧 🇩🇪 🇨🇿 🇫🇮

Meteor, poloha: Farnes 2019-11-06 16:33:15 UTC

Soubor KML  |  InteraktivnĂ­ mapa

Mapa zobrazuje dráhy meteoru. Světlejší čáry ukazují směry od pozorovacích stanic při objevení se meteoru a tmavší čáry, kde byl naposledy viděn. Modrá šipka značí viditelnou dráhu meteoru.

static map
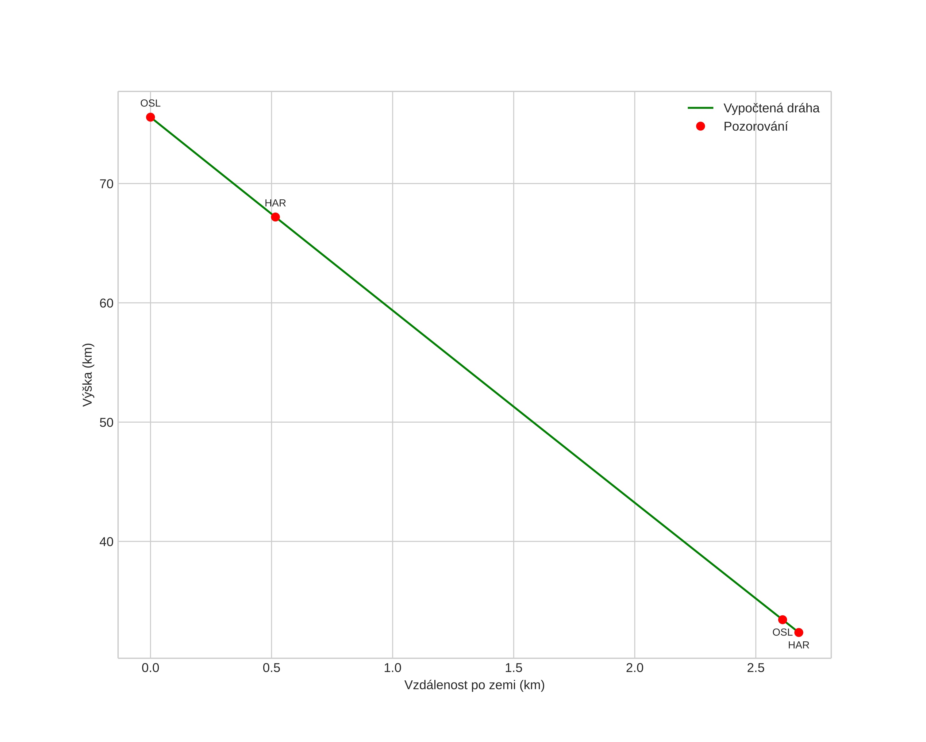
height profile
Atmosférická dráha meteoru:
Počáteční výška: 76,3 km
Konečná výška: 32,5 km
Počáteční poloha: 61,444N 7,846E
Konečná poloha: 61,422N 7,884E
Směr: 139,4°
Sklon: 85,9°
VstupnĂ­ rychlost: 21,9 km/s
Rektascenze radiantu: 19:33 (293,5°)
Deklinace radiantu: 64,4°
MeteorickĂ˝ roj: sporadickĂ˝
Elementy dráhy meteoroidu:
Vzdálenost v periheliu: 0,984 AU
Excentricita: 0,567
Sklon dráhy: 29,9°
Délka vzestupného uzlu: 223,7°
Argument perihelia: 191,5°
Střední anomálie: 357,4°
Epocha: 2019 NOV 06 16:33:15
orbit plot

NeinteraktivnĂ­ graf | InteraktivnĂ­ graf

position vs time
speed and acceleration