🇳🇴 🇬🇧 🇩🇪 🇨🇿 🇫🇮

Meteor Bodenin yllä 2019-11-06 19:02:51 UTC

KML-tiedosto  |  Interaktiivinen kartta

Kartta näyttää meteorin suuntahavainnot. Vaaleammat viivat näyttävät suunnat havaintoasemilta meteorin ilmestyessä, ja tummemmat viivat näyttävät, missä se viimeksi nähtiin. Sininen nuoli näyttää meteorin näkyvän lennon.

static map
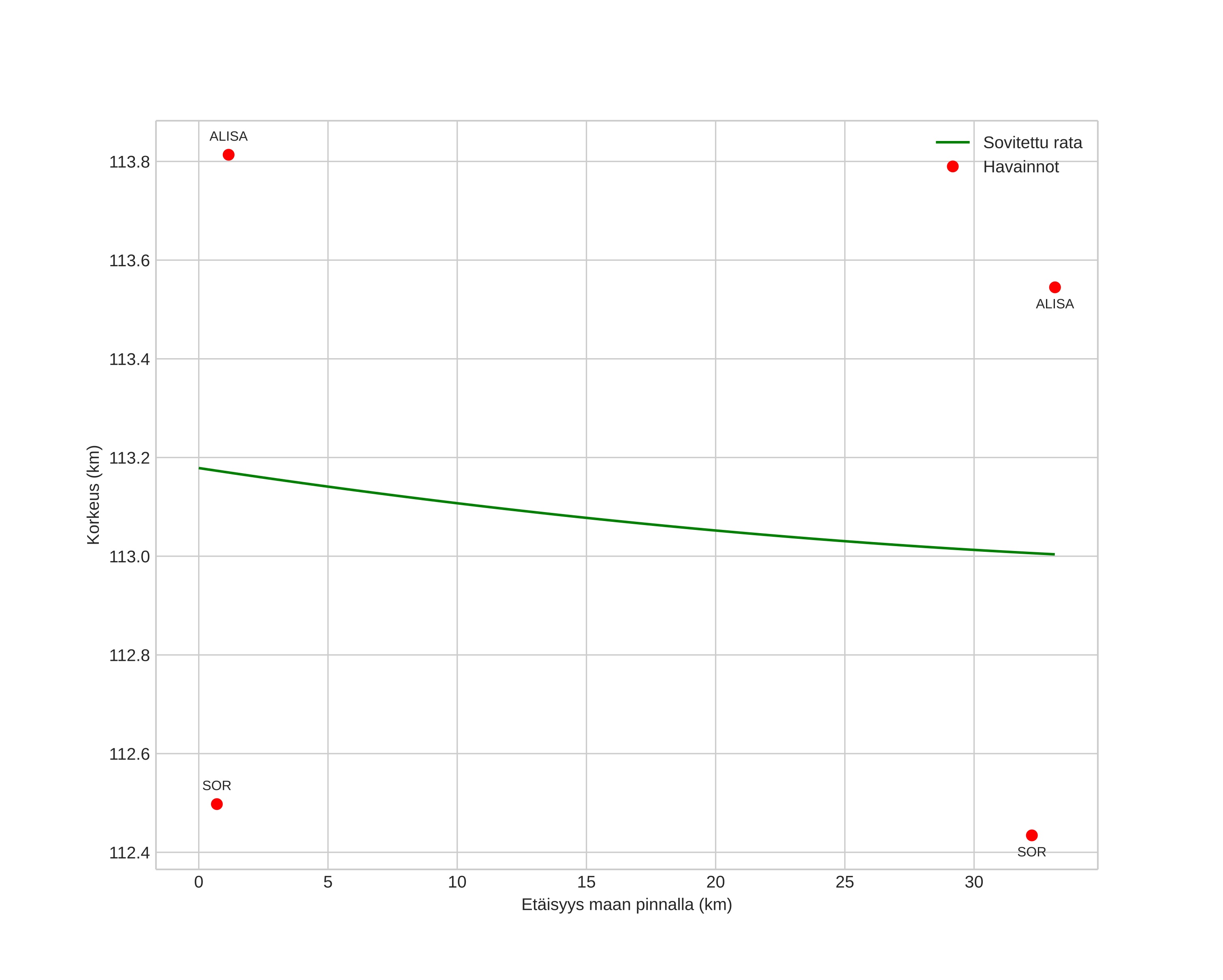
height profile
Meteorin ilmakehärata:
Alkukorkeus: 111,8 km
Loppukorkeus: 112,8 km
Alkupiste: 66,848N 21,568E
Loppupiste: 66,545N 21,653E
Suunta: 173,6°
Kallistuskulma: -1,7°
Tulonopeus: 136,8 km/s
Radiantin R,A,: 11:58 (179,6°)
Radiantin Dekl,: 21,2°
Meteoriparvi: Sporadinen
Meteoroidin rataelementit:
Perihelietäisyys: 0,718 AU
Eksentrisyys: 10,281
Inklinaatio: 148,3°
Nousevan solmun pituus: 223,8°
Perihelin argumentti: 134,2°
Keskianomalia: 482,3°
Epookki: 2019 NOV 06 19:02:51
orbit plot

Ei-interaktiivinen kuvaaja | Interaktiivinen kuvaaja

position vs time
speed and acceleration

Sorreisa (SOR) cam1


gnomonic
Videot:
• Gnomoninen
• Gnomoninen koordinaateilla
• Alkuperäinen
• Alkuperäinen koordinaateilla
Kuvat:
• Gnomoninen
• Gnomoninen koordinaateilla
• Gnomoninen merkinnöillä
• Alkuperäinen
• Alkuperäinen koordinaateilla
• Alkuperäinen maskilla
Tekstitiedostot:
• Havaintoraportti
• Observaatio
• Koordinaatit
• Virheilmoitukset
• Loki
Kirkkaus