🇳🇴 🇬🇧 🇩🇪 🇨🇿 🇫🇮

Meteor, poloha: Olderdalen 2019-11-06 23:07:13 UTC

Soubor KML  |  InteraktivnĂ­ mapa

Mapa zobrazuje dráhy meteoru. Světlejší čáry ukazují směry od pozorovacích stanic při objevení se meteoru a tmavší čáry, kde byl naposledy viděn. Modrá šipka značí viditelnou dráhu meteoru.

static map
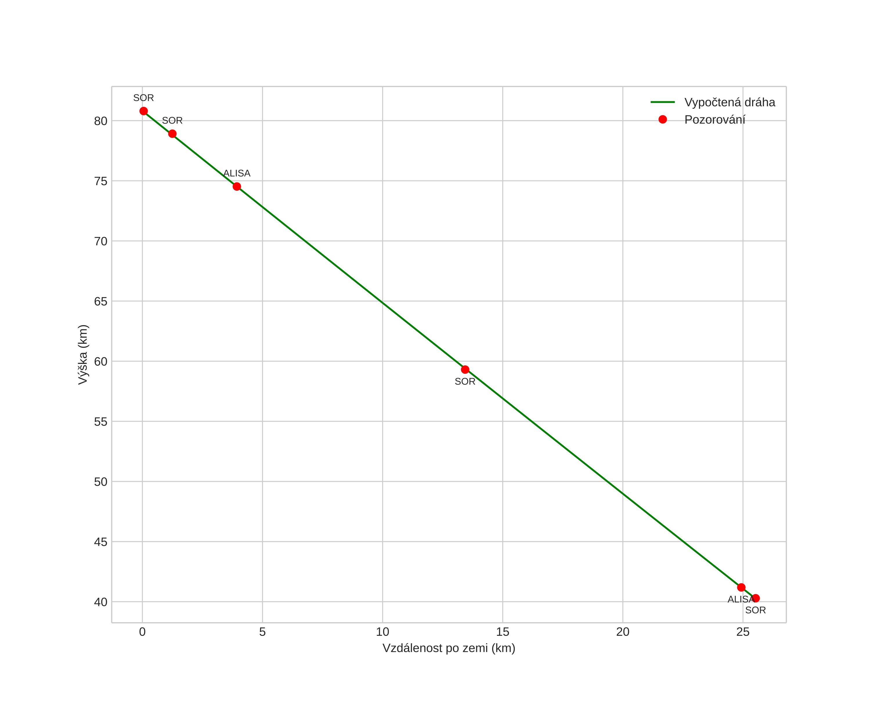
height profile
Atmosférická dráha meteoru:
Počáteční výška: 80,1 km
Konečná výška: 39,4 km
Počáteční poloha: 68,705N 20,159E
Konečná poloha: 68,728N 20,794E
Směr: 84,1°
Sklon: 57,7°
VstupnĂ­ rychlost: 20,8 km/s
Rektascenze radiantu: 23:35 (353,9°)
Deklinace radiantu: 47,3°
MeteorickĂ˝ roj: sporadickĂ˝
Elementy dráhy meteoroidu:
Vzdálenost v periheliu: 0,888 AU
Excentricita: 0,761
Sklon dráhy: 19,3°
Délka vzestupného uzlu: 224,0°
Argument perihelia: 220,7°
Střední anomálie: 356,1°
Epocha: 2019 NOV 06 23:07:13
orbit plot

NeinteraktivnĂ­ graf | InteraktivnĂ­ graf

position vs time
speed and acceleration