🇳🇴 🇬🇧 🇩🇪 🇨🇿 🇫🇮

Meteor, poloha: Sunndalsøra 2019-11-07 04:55:09 UTC

Soubor KML  |  InteraktivnĂ­ mapa

Mapa zobrazuje dráhy meteoru. Světlejší čáry ukazují směry od pozorovacích stanic při objevení se meteoru a tmavší čáry, kde byl naposledy viděn. Modrá šipka značí viditelnou dráhu meteoru.

static map
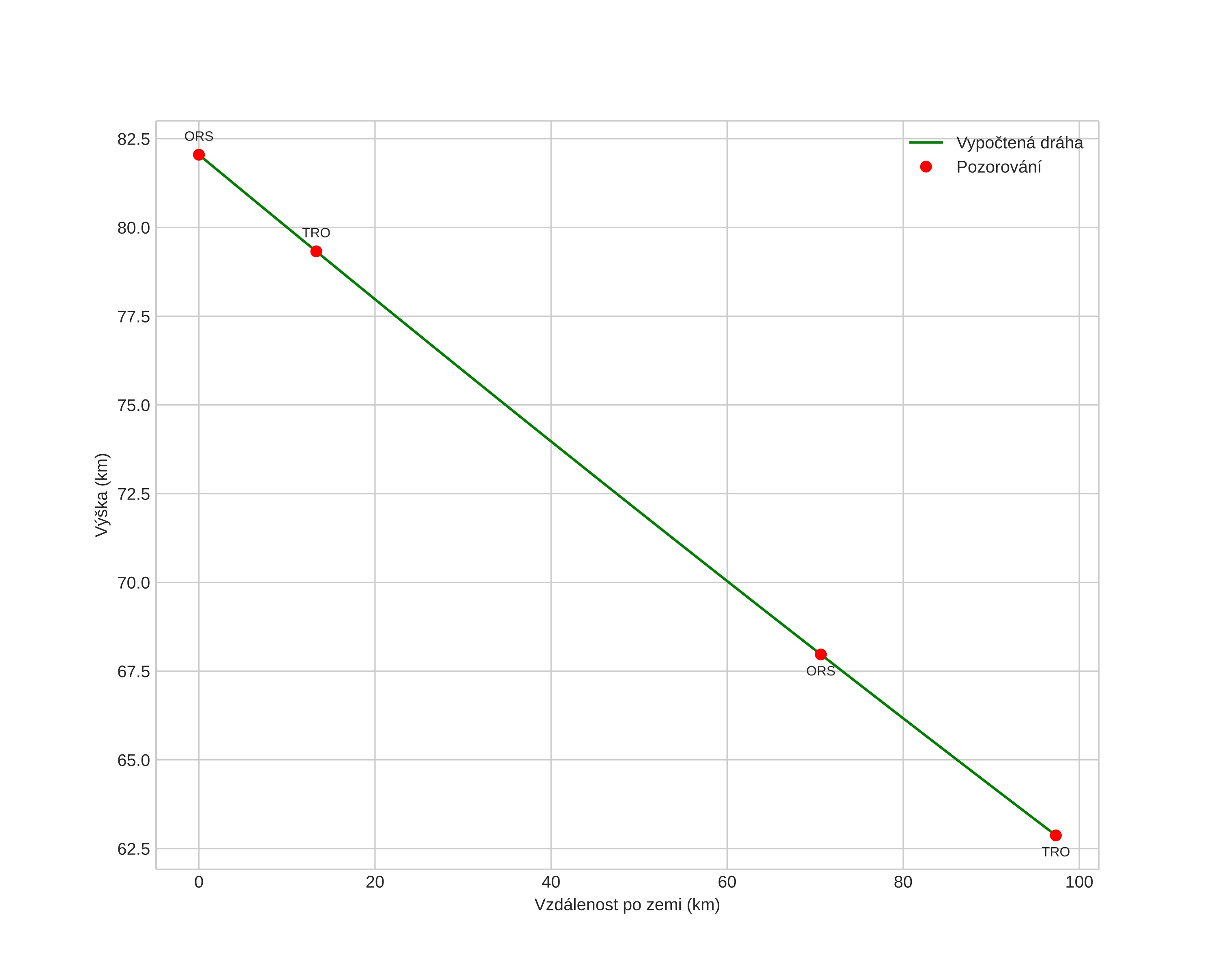
height profile
Atmosférická dráha meteoru:
Počáteční výška: 85,0 km
Konečná výška: 63,5 km
Počáteční poloha: 62,793N 6,614E
Konečná poloha: 62,480N 8,667E
Směr: 107,5°
Sklon: 11,0°
VstupnĂ­ rychlost: 17,5 km/s
Rektascenze radiantu: 01:21 (20,4°)
Deklinace radiantu: 6,9°
MeteorickĂ˝ roj: sporadickĂ˝
Elementy dráhy meteoroidu:
Vzdálenost v periheliu: 0,838 AU
Excentricita: 0,654
Sklon dráhy: 0,6°
Délka vzestupného uzlu: 44,4°
Argument perihelia: 52,3°
Střední anomálie: 350,7°
Epocha: 2019 NOV 07 04:55:09
orbit plot

NeinteraktivnĂ­ graf | InteraktivnĂ­ graf

position vs time
speed and acceleration