🇳🇴 🇬🇧 🇩🇪 🇨🇿 🇫🇮

Meteor, poloha: FosnavĂĄg 2019-11-08 18:27:39 UTC

Soubor KML  |  InteraktivnĂ­ mapa

Mapa zobrazuje dráhy meteoru. Světlejší čáry ukazují směry od pozorovacích stanic při objevení se meteoru a tmavší čáry, kde byl naposledy viděn. Modrá šipka značí viditelnou dráhu meteoru.

static map
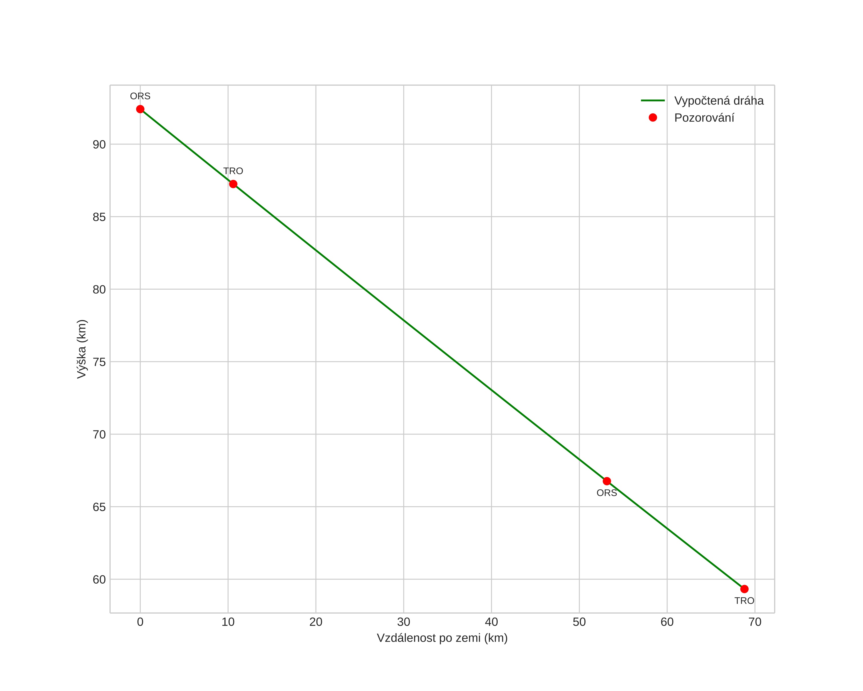
height profile
Atmosférická dráha meteoru:
Počáteční výška: 97,7 km
Konečná výška: 53,3 km
Počáteční poloha: 63,004N 7,091E
Konečná poloha: 62,941N 5,260E
Směr: 266,5°
Sklon: 25,6°
VstupnĂ­ rychlost: 29,4 km/s
Rektascenze radiantu: 03:33 (53,4°)
Deklinace radiantu: 21,8°
MeteorickĂ˝ roj: SevernĂ­ Tauridy
Elementy dráhy meteoroidu:
Vzdálenost v periheliu: 0,385 AU
Excentricita: 0,812
Sklon dráhy: 2,8°
Délka vzestupného uzlu: 225,7°
Argument perihelia: 291,4°
Střední anomálie: 345,4°
Epocha: 2019 NOV 08 18:27:39
orbit plot

NeinteraktivnĂ­ graf | InteraktivnĂ­ graf

position vs time
speed and acceleration