🇳🇴 🇬🇧 🇩🇪 🇨🇿 🇫🇮

Meteor, poloha: Røst 2019-11-08 21:19:09 UTC

Soubor KML  |  InteraktivnĂ­ mapa

Mapa zobrazuje dráhy meteoru. Světlejší čáry ukazují směry od pozorovacích stanic při objevení se meteoru a tmavší čáry, kde byl naposledy viděn. Modrá šipka značí viditelnou dráhu meteoru.

static map
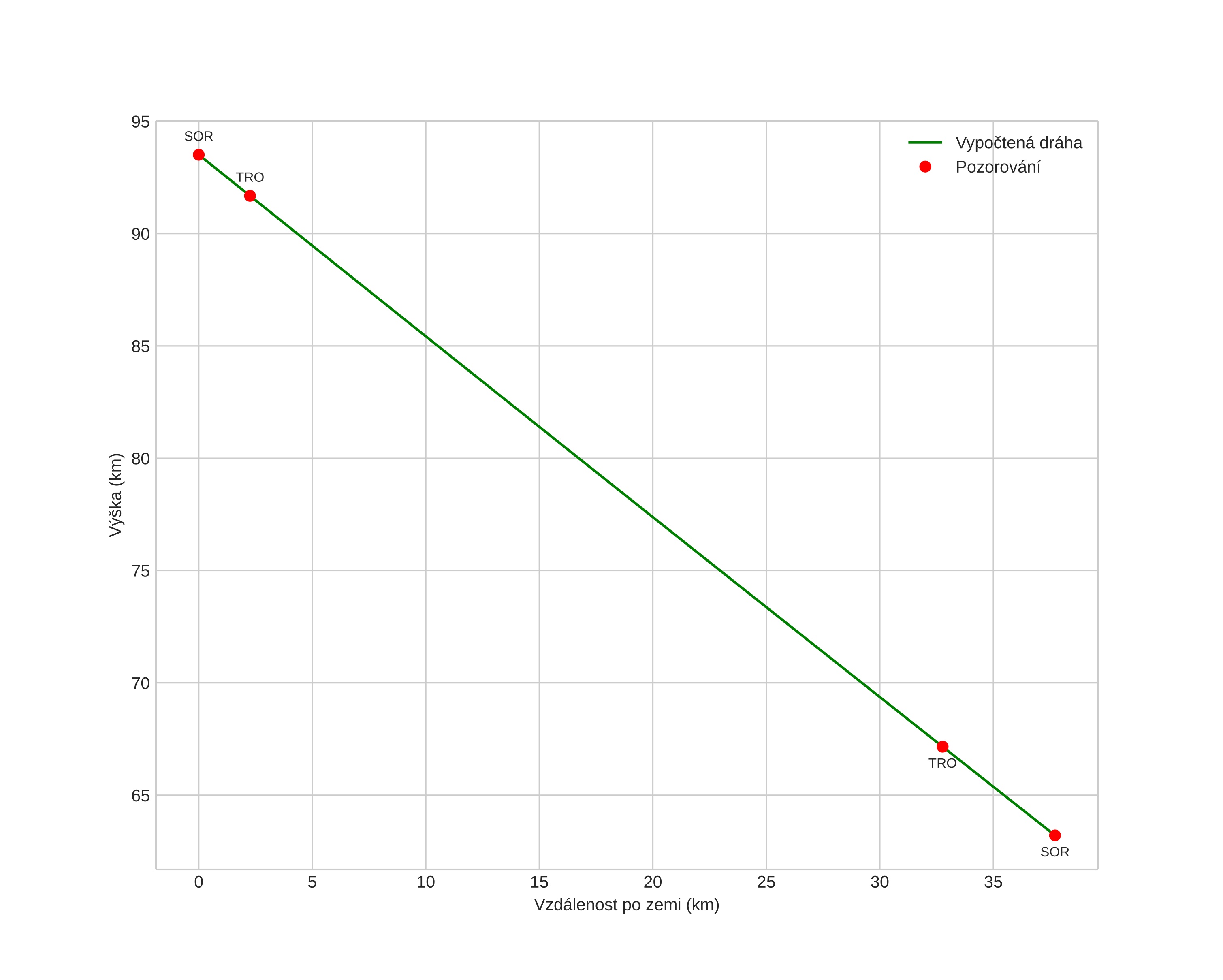
height profile
Atmosférická dráha meteoru:
Počáteční výška: 96,9 km
Konečná výška: 66,7 km
Počáteční poloha: 69,167N 7,029E
Konečná poloha: 69,380N 6,298E
Směr: 309,8°
Sklon: 39,0°
VstupnĂ­ rychlost: 31,5 km/s
Rektascenze radiantu: 03:41 (55,4°)
Deklinace radiantu: 22,5°
MeteorickĂ˝ roj: SevernĂ­ Tauridy
Elementy dráhy meteoroidu:
Vzdálenost v periheliu: 0,337 AU
Excentricita: 0,854
Sklon dráhy: 3,5°
Délka vzestupného uzlu: 225,9°
Argument perihelia: 295,6°
Střední anomálie: 348,4°
Epocha: 2019 NOV 08 21:19:09
orbit plot

NeinteraktivnĂ­ graf | InteraktivnĂ­ graf

position vs time
speed and acceleration