🇳🇴 🇬🇧 🇩🇪 🇨🇿 🇫🇮

Meteor, poloha: Kiruna 2019-11-09 00:11:52 UTC

Soubor KML  |  Interaktivní mapa

Mapa zobrazuje dráhy meteoru. Světlejší čáry ukazují směry od pozorovacích stanic při objevení se meteoru a tmavší čáry, kde byl naposledy viděn. Modrá šipka značí viditelnou dráhu meteoru.

static map
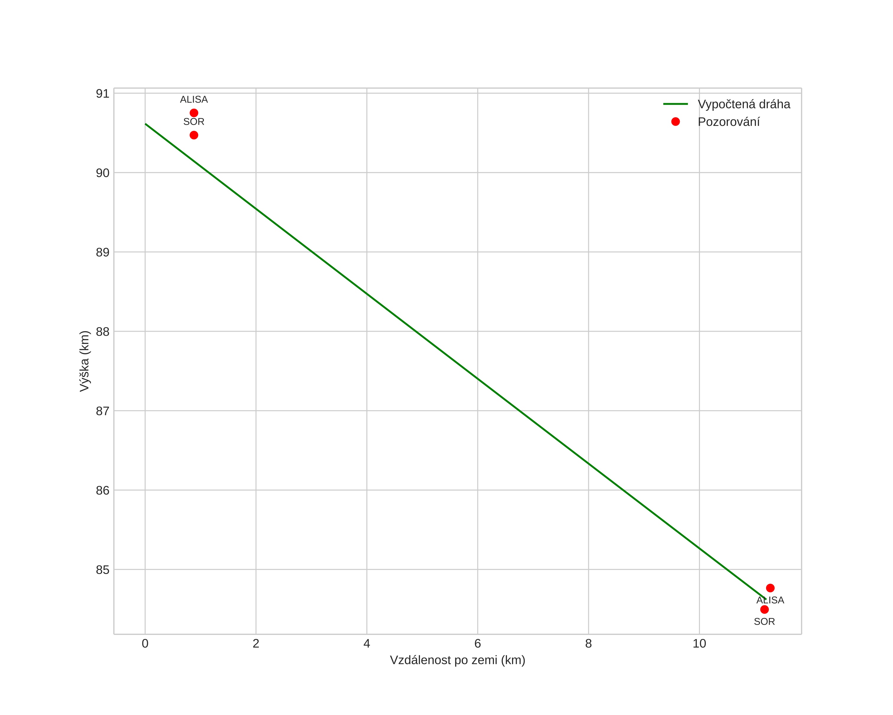
height profile
Atmosférická dráha meteoru:
Počáteční výška: 99,4 km
Konečná výška: 83,9 km
Počáteční poloha: 67,896N 19,621E
Konečná poloha: 67,843N 19,610E
Směr: 184,6°
Sklon: 69,1°
Vstupní rychlost: 27,9 km/s
Rektascenze radiantu: 09:12 (138,2°)
Deklinace radiantu: 88,7°
Meteorický roj: sporadický
Elementy dráhy meteoroidu:
Vzdálenost v periheliu: 0,873 AU
Excentricita: 0,325
Sklon dráhy: 46,1°
Délka vzestupného uzlu: 226,0°
Argument perihelia: 238,9°
Střední anomálie: 329,0°
Epocha: 2019 NOV 09 00:11:52
orbit plot

Neinteraktivní graf | Interaktivní graf

position vs time
speed and acceleration