🇳🇴 🇬🇧 🇩🇪 🇨🇿 🇫🇮

Meteor, poloha: Stokmarknes 2019-11-09 05:53:44 UTC

Soubor KML  |  InteraktivnĂ­ mapa

Mapa zobrazuje dráhy meteoru. Světlejší čáry ukazují směry od pozorovacích stanic při objevení se meteoru a tmavší čáry, kde byl naposledy viděn. Modrá šipka značí viditelnou dráhu meteoru.

static map
height profile
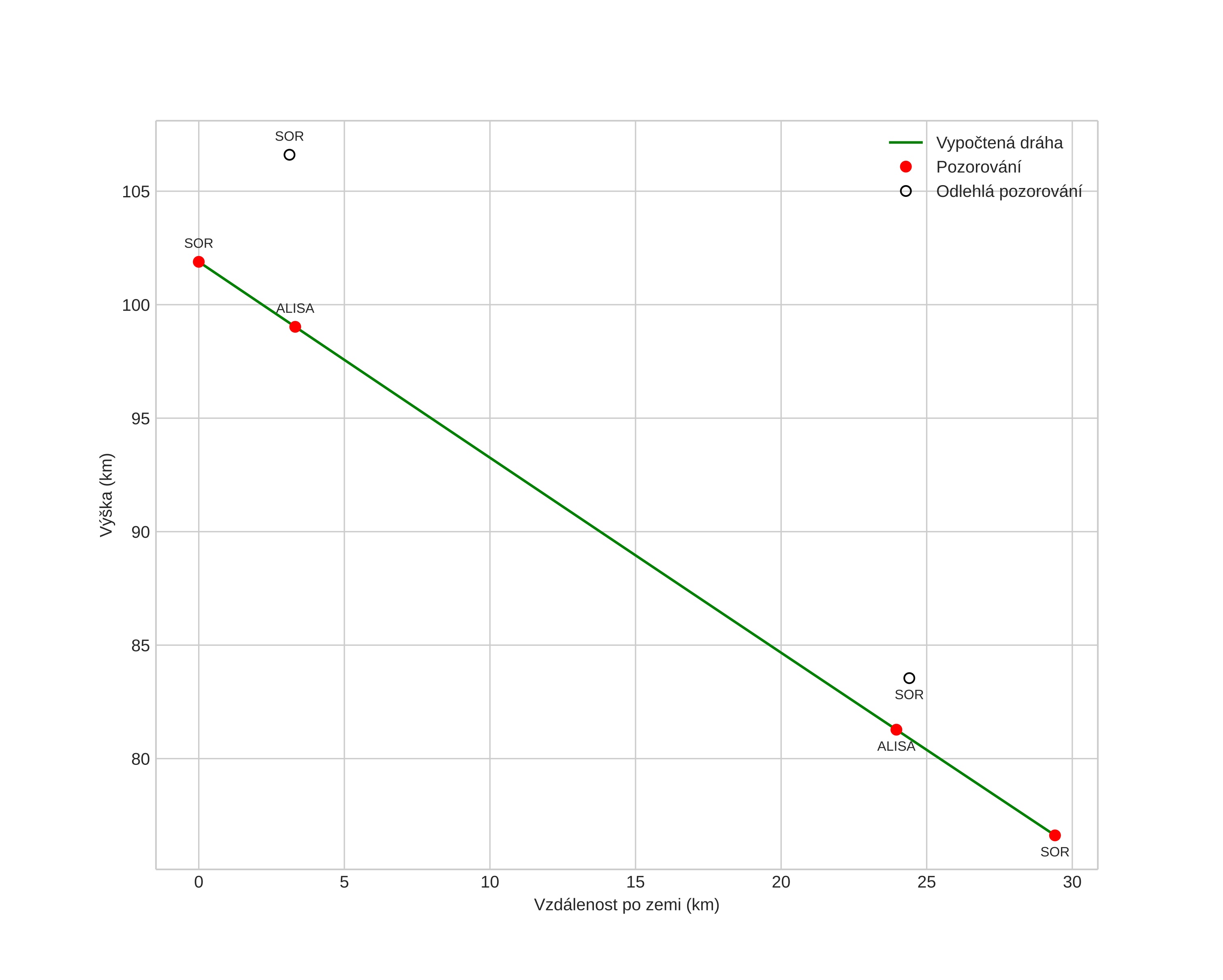
Atmosférická dráha meteoru:
Počáteční výška: 102,0 km
Konečná výška: 78,9 km
Počáteční poloha: 68,619N 15,382E
Konečná poloha: 68,766N 14,844E
Směr: 307,1°
Sklon: 40,3°
VstupnĂ­ rychlost: 56,0 km/s
Rektascenze radiantu: 12:56 (194,1°)
Deklinace radiantu: 25,4°
MeteorickĂ˝ roj: sporadickĂ˝
Elementy dráhy meteoroidu:
Vzdálenost v periheliu: 0,384 AU
Excentricita: 1,029
Sklon dráhy: 97,4°
Délka vzestupného uzlu: 226,3°
Argument perihelia: 78,1°
Střední anomálie: 0,8°
Epocha: 2019 NOV 09 05:53:44
orbit plot

NeinteraktivnĂ­ graf | InteraktivnĂ­ graf

position vs time
speed and acceleration