🇳🇴 🇬🇧 🇩🇪 🇨🇿 🇫🇮

Meteor, poloha: Kiruna 2019-11-09 20:22:56 UTC

Soubor KML  |  Interaktivní mapa

Mapa zobrazuje dráhy meteoru. Světlejší čáry ukazují směry od pozorovacích stanic při objevení se meteoru a tmavší čáry, kde byl naposledy viděn. Modrá šipka značí viditelnou dráhu meteoru.

static map
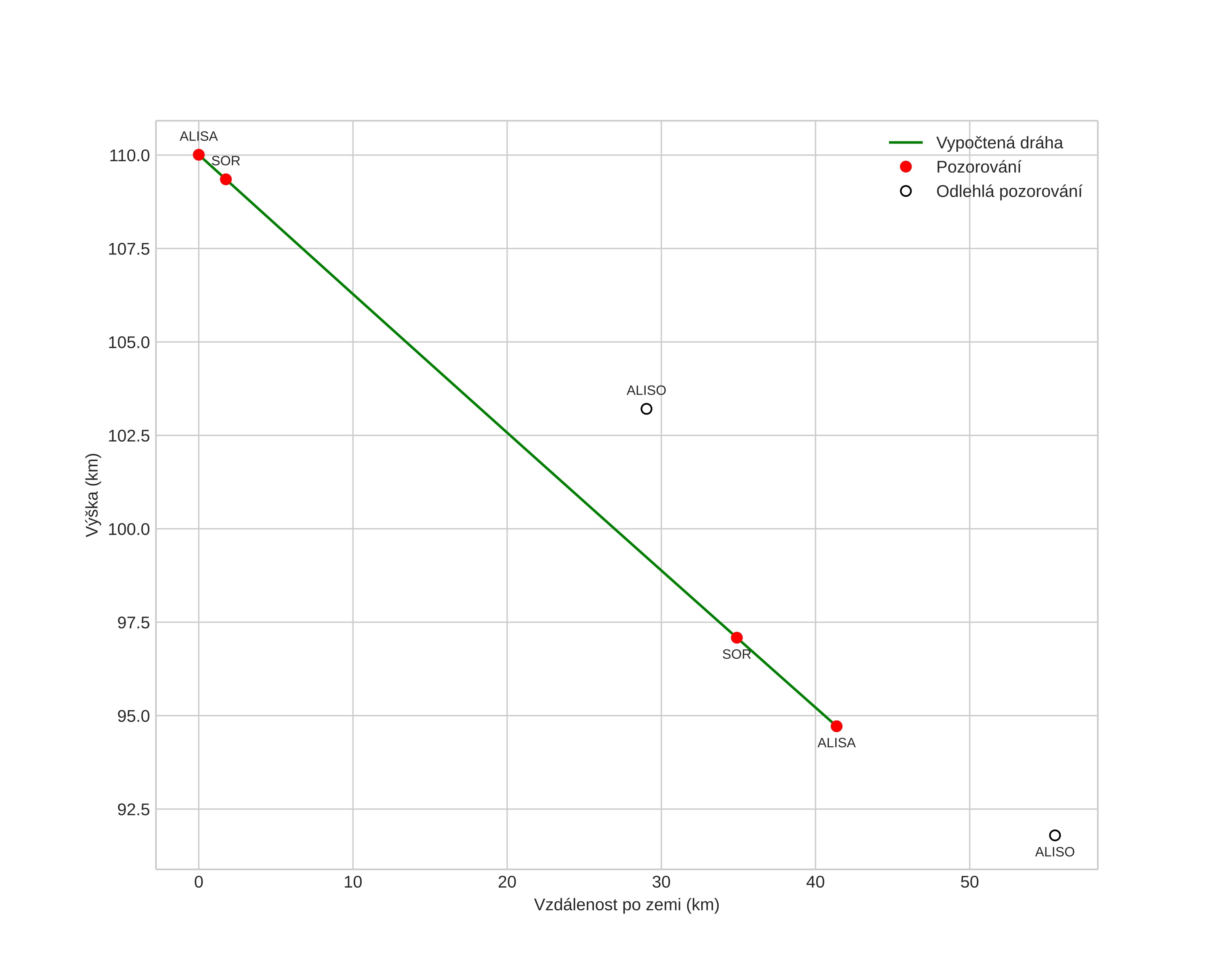
height profile
Atmosférická dráha meteoru:
Počáteční výška: 114,5 km
Konečná výška: 95,9 km
Počáteční poloha: 68,126N 20,575E
Konečná poloha: 67,885N 19,620E
Směr: 236,5°
Sklon: 21,2°
Vstupní rychlost: 71,2 km/s
Rektascenze radiantu: 08:34 (128,7°)
Deklinace radiantu: 31,5°
Meteorický roj: sporadický
Elementy dráhy meteoroidu:
Vzdálenost v periheliu: 0,843 AU
Excentricita: 1,051
Sklon dráhy: 157,6°
Délka vzestupného uzlu: 226,9°
Argument perihelia: 224,8°
Střední anomálie: -0,4°
Epocha: 2019 NOV 09 20:22:56
orbit plot

Neinteraktivní graf | Interaktivní graf

position vs time
speed and acceleration