🇳🇴 🇬🇧 🇩🇪 🇨🇿 🇫🇮

Meteor, poloha: VĂĄgĂĄmo 2019-11-09 20:33:30 UTC

Soubor KML  |  InteraktivnĂ­ mapa

Mapa zobrazuje dráhy meteoru. Světlejší čáry ukazují směry od pozorovacích stanic při objevení se meteoru a tmavší čáry, kde byl naposledy viděn. Modrá šipka značí viditelnou dráhu meteoru.

static map
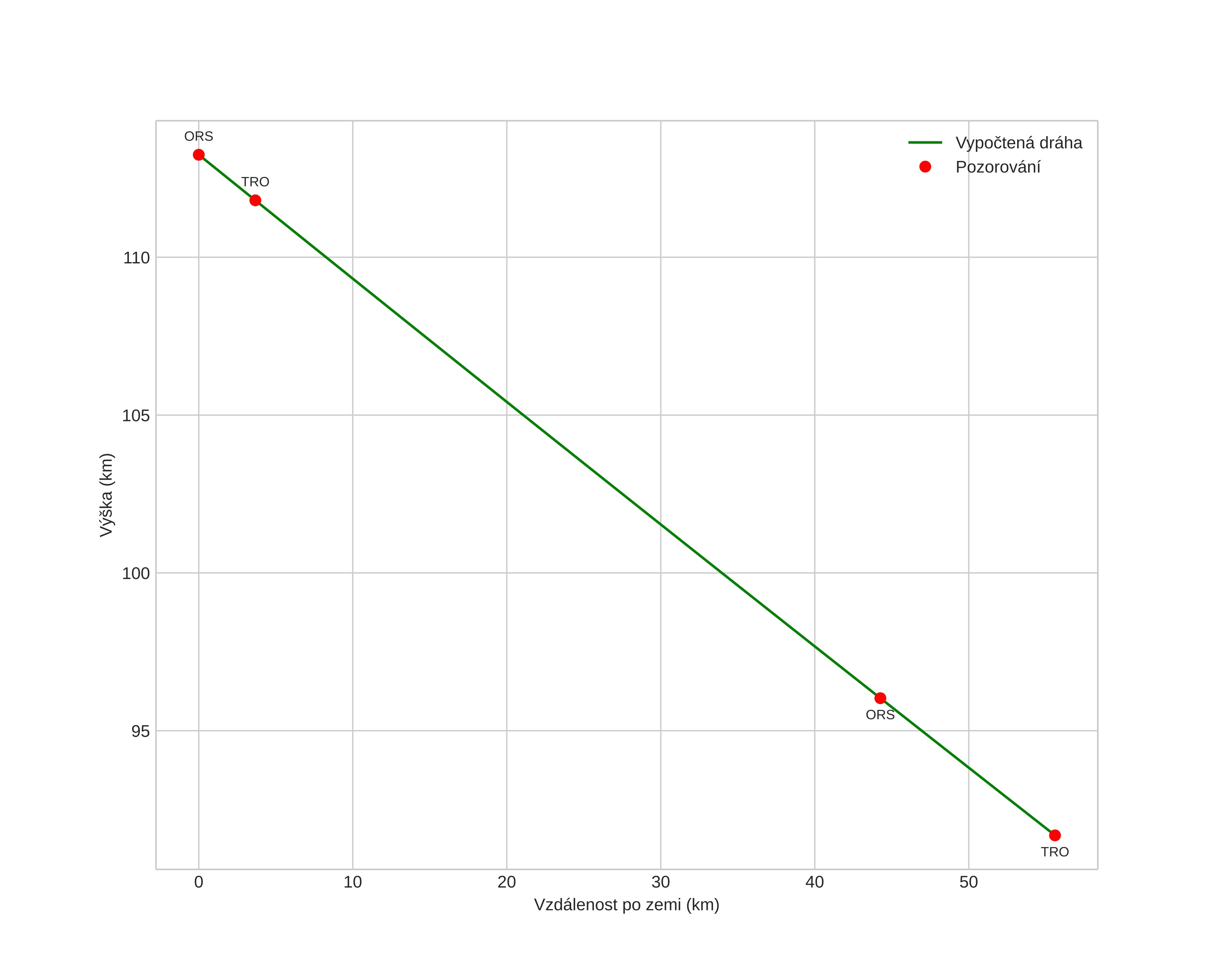
height profile
Atmosférická dráha meteoru:
Počáteční výška: 111,9 km
Konečná výška: 91,3 km
Počáteční poloha: 62,250N 9,502E
Konečná poloha: 61,825N 9,012E
Směr: 208,6°
Sklon: 21,0°
VstupnĂ­ rychlost: 65,8 km/s
Rektascenze radiantu: 09:51 (148,0°)
Deklinace radiantu: 43,9°
MeteorickĂ˝ roj: sporadickĂ˝
Elementy dráhy meteoroidu:
Vzdálenost v periheliu: 0,985 AU
Excentricita: 0,898
Sklon dráhy: 130,2°
Délka vzestupného uzlu: 226,9°
Argument perihelia: 188,8°
Střední anomálie: 359,8°
Epocha: 2019 NOV 09 20:33:30
orbit plot

NeinteraktivnĂ­ graf | InteraktivnĂ­ graf

position vs time
speed and acceleration