🇳🇴 🇬🇧 🇩🇪 🇨🇿 🇫🇮

Meteor, poloha: Burfjord 2019-11-10 15:58:06 UTC

Soubor KML  |  InteraktivnĂ­ mapa

Mapa zobrazuje dráhy meteoru. Světlejší čáry ukazují směry od pozorovacích stanic při objevení se meteoru a tmavší čáry, kde byl naposledy viděn. Modrá šipka značí viditelnou dráhu meteoru.

static map
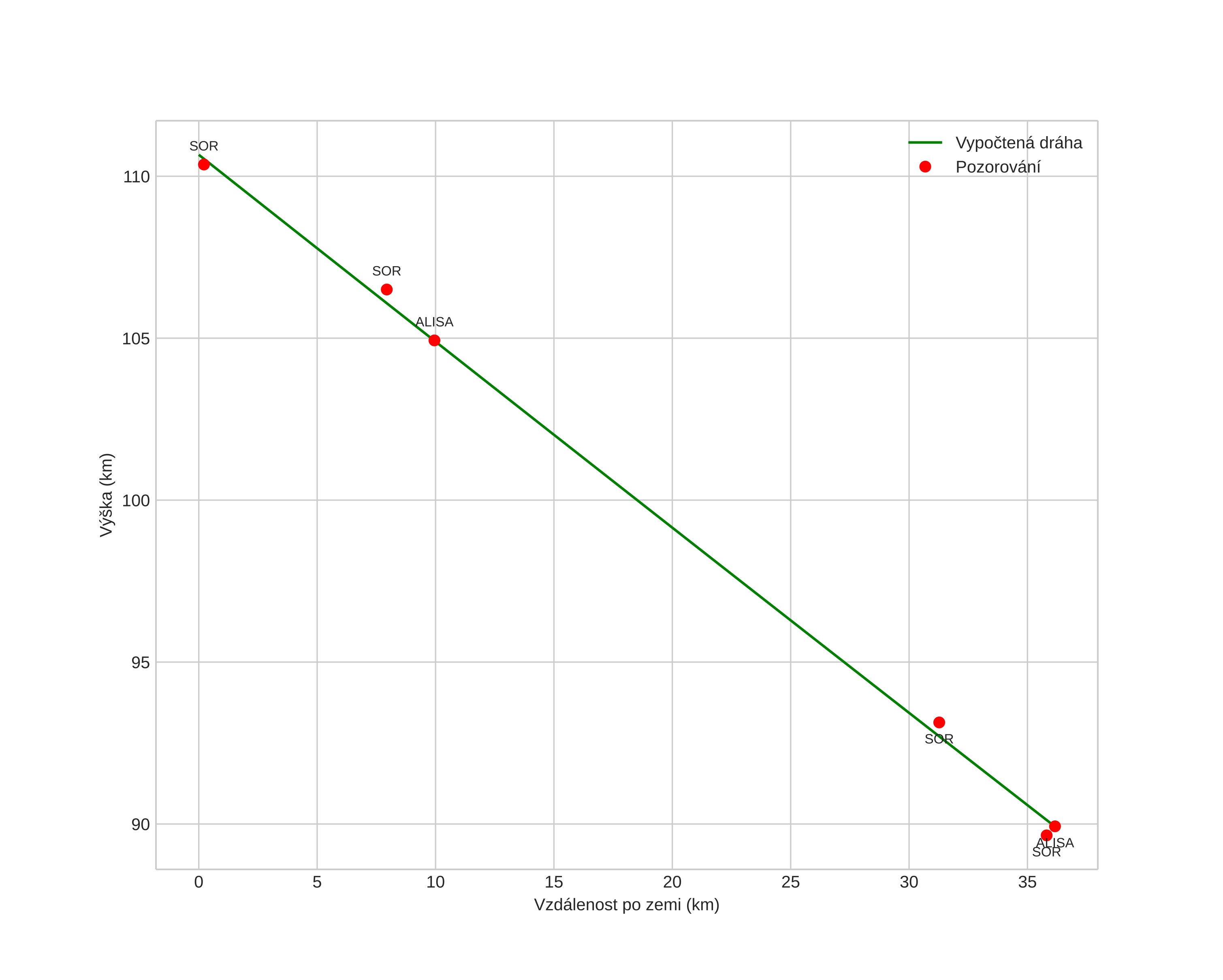
height profile
Atmosférická dráha meteoru:
Počáteční výška: 113,9 km
Konečná výška: 90,5 km
Počáteční poloha: 69,806N 22,349E
Konečná poloha: 69,440N 22,379E
Směr: 178,4°
Sklon: 29,8°
VstupnĂ­ rychlost: 65,8 km/s
Rektascenze radiantu: 08:53 (133,4°)
Deklinace radiantu: 49,6°
MeteorickĂ˝ roj: sporadickĂ˝
Elementy dráhy meteoroidu:
Vzdálenost v periheliu: 0,861 AU
Excentricita: 1,120
Sklon dráhy: 125,1°
Délka vzestupného uzlu: 227,7°
Argument perihelia: 221,2°
Střední anomálie: -1,3°
Epocha: 2019 NOV 10 15:58:06
orbit plot

NeinteraktivnĂ­ graf | InteraktivnĂ­ graf

position vs time
speed and acceleration