🇳🇴 🇬🇧 🇩🇪 🇨🇿 🇫🇮

Meteor, poloha: Narvik 2019-11-10 22:32:47 UTC

Soubor KML  |  Interaktivní mapa

Mapa zobrazuje dráhy meteoru. Světlejší čáry ukazují směry od pozorovacích stanic při objevení se meteoru a tmavší čáry, kde byl naposledy viděn. Modrá šipka značí viditelnou dráhu meteoru.

static map
height profile
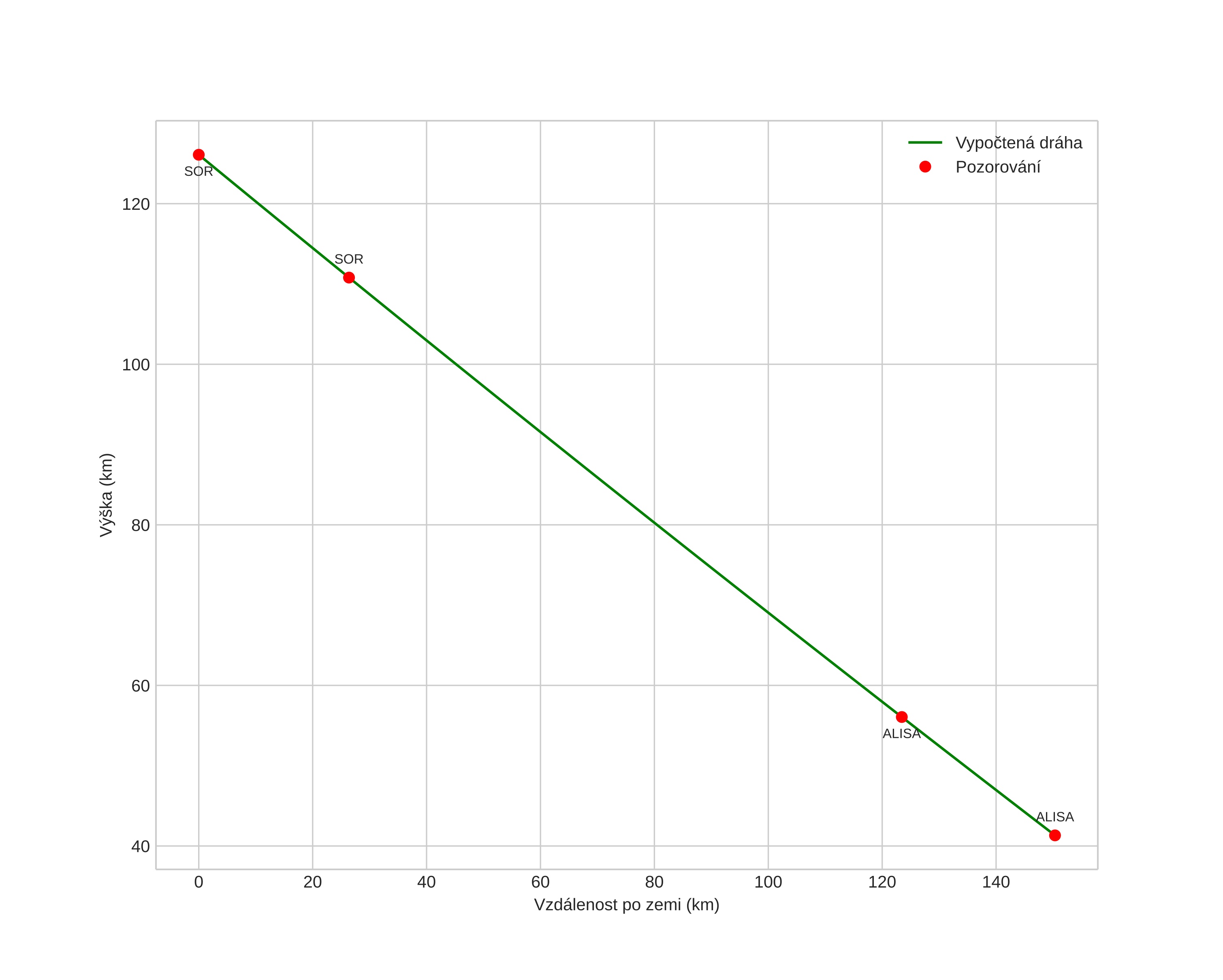
Atmosférická dráha meteoru:
Počáteční výška: 122,9 km
Konečná výška: 41,2 km
Počáteční poloha: 68,672N 19,382E
Konečná poloha: 67,436N 17,907E
Směr: 204,7°
Sklon: 28,5°
orbit plot

Neinteraktivní graf | Interaktivní graf

position vs time
speed and acceleration