🇳🇴 🇬🇧 🇩🇪 🇨🇿 🇫🇮

Meteor, poloha: Hansnes 2019-11-11 04:50:39 UTC

Soubor KML  |  Interaktivní mapa

Mapa zobrazuje dráhy meteoru. Světlejší čáry ukazují směry od pozorovacích stanic při objevení se meteoru a tmavší čáry, kde byl naposledy viděn. Modrá šipka značí viditelnou dráhu meteoru.

static map
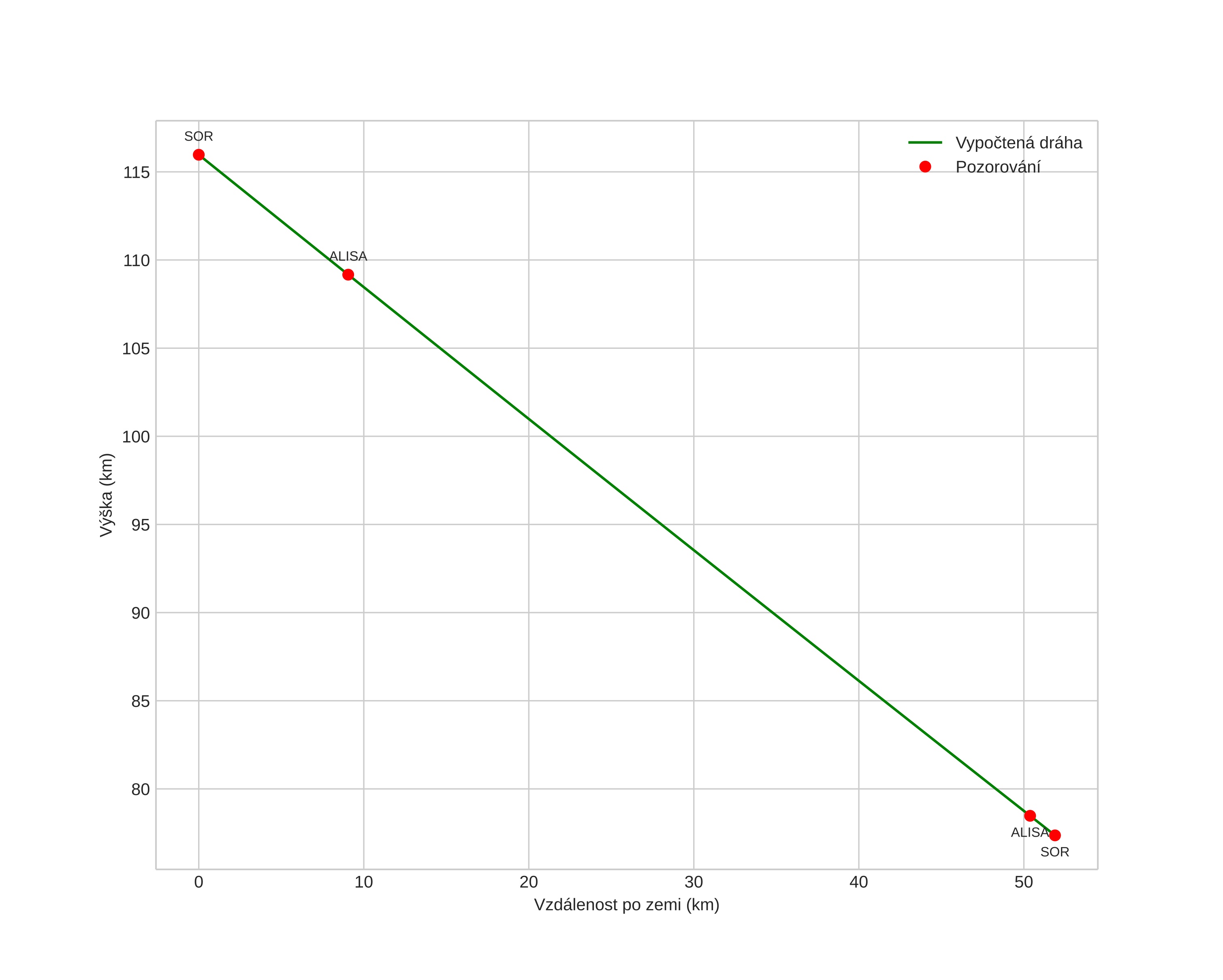
height profile
Atmosférická dráha meteoru:
Počáteční výška: 109,1 km
Konečná výška: 73,9 km
Počáteční poloha: 69,809N 20,295E
Konečná poloha: 70,230N 19,759E
Směr: 336,8°
Sklon: 34,6°
Vstupní rychlost: 68,1 km/s
Rektascenze radiantu: 10:49 (162,3°)
Deklinace radiantu: 15,4°
Meteorický roj: sporadický
Elementy dráhy meteoroidu:
Vzdálenost v periheliu: 0,674 AU
Excentricita: 0,869
Sklon dráhy: 165,3°
Délka vzestupného uzlu: 228,2°
Argument perihelia: 108,3°
Střední anomálie: 3,3°
Epocha: 2019 NOV 11 04:50:39
orbit plot

Neinteraktivní graf | Interaktivní graf

position vs time
speed and acceleration