🇳🇴 🇬🇧 🇩🇪 🇨🇿 🇫🇮

Meteor Jokkmokkin yllä 2019-11-13 23:57:40 UTC

KML-tiedosto  |  Interaktiivinen kartta

Kartta näyttää meteorin suuntahavainnot. Vaaleammat viivat näyttävät suunnat havaintoasemilta meteorin ilmestyessä, ja tummemmat viivat näyttävät, missä se viimeksi nähtiin. Sininen nuoli näyttää meteorin näkyvän lennon.

static map
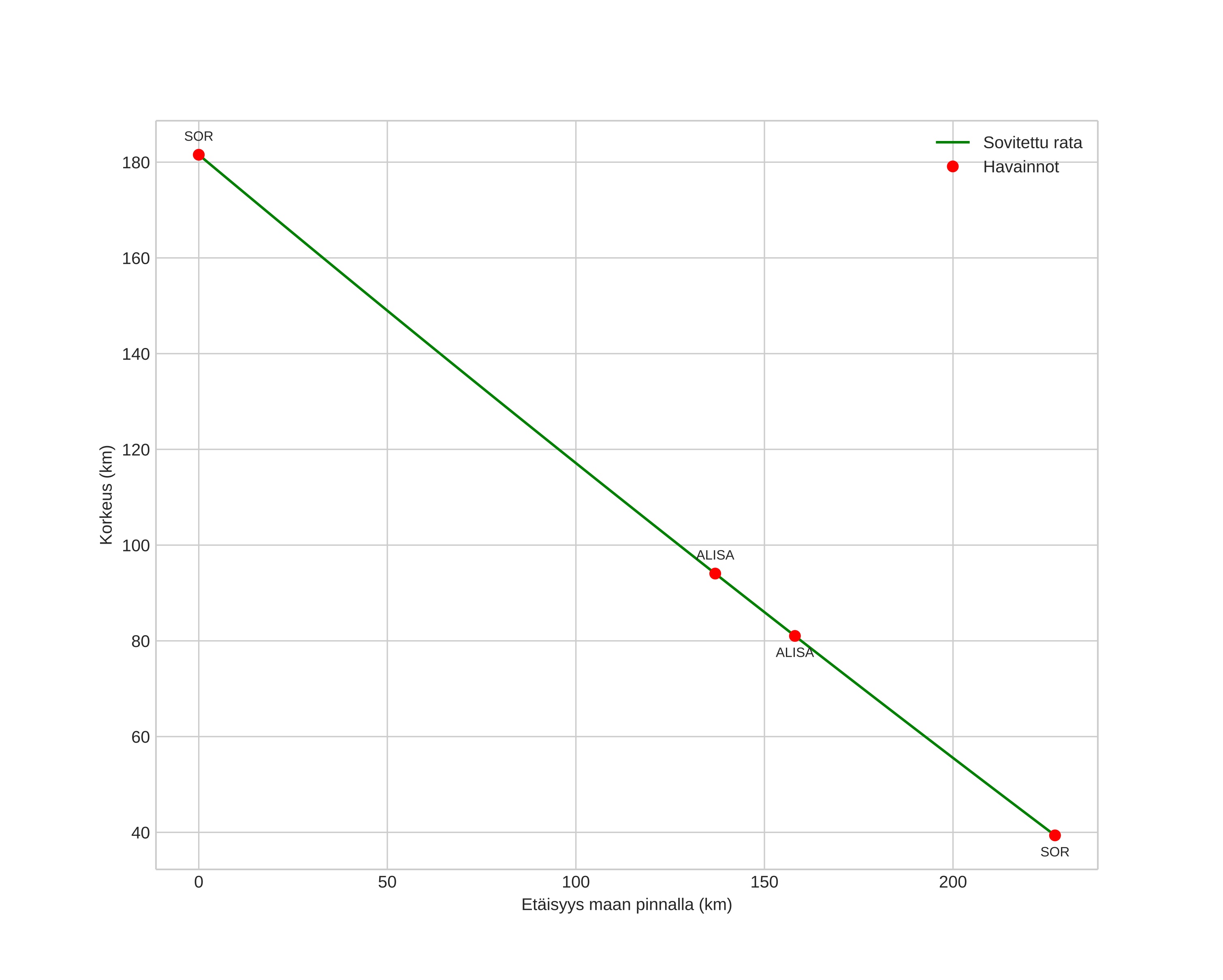
height profile
Meteorin ilmakehärata:
Alkukorkeus: 96,2 km
Loppukorkeus: 72,6 km
Alkupiste: 66,414N 19,976E
Loppupiste: 66,177N 19,676E
Suunta: 207,1°
Kallistuskulma: 38,6°
Tulonopeus: 66,4 km/s
Radiantin R,A,: 13:59 (209,8°)
Radiantin Dekl,: 58,1°
Meteoriparvi: Sporadinen
Meteoroidin rataelementit:
Perihelietäisyys: 0,955 AU
Eksentrisyys: 2,866
Inklinaatio: 87,2°
Nousevan solmun pituus: 231,0°
Perihelin argumentti: 162,3°
Keskianomalia: 23,6°
Epookki: 2019 NOV 13 23:57:40
orbit plot

Ei-interaktiivinen kuvaaja | Interaktiivinen kuvaaja

position vs time
speed and acceleration

Sorreisa (SOR) cam1

fireball
gnomonic
Videot:
• Gnomoninen
• Gnomoninen koordinaateilla
• Alkuperäinen
• Alkuperäinen koordinaateilla
Kuvat:
• Gnomoninen
• Gnomoninen koordinaateilla
• Gnomoninen merkinnöillä
• Alkuperäinen
• Alkuperäinen koordinaateilla
• Alkuperäinen maskilla
Tekstitiedostot:
• Havaintoraportti
• Observaatio
• Koordinaatit
• Virheilmoitukset
• Loki
Kirkkaus