🇳🇴 🇬🇧 🇩🇪 🇨🇿 🇫🇮

Meteor, poloha: Aure 2019-11-15 17:11:55 UTC

Soubor KML  |  InteraktivnĂ­ mapa

Mapa zobrazuje dráhy meteoru. Světlejší čáry ukazují směry od pozorovacích stanic při objevení se meteoru a tmavší čáry, kde byl naposledy viděn. Modrá šipka značí viditelnou dráhu meteoru.

static map
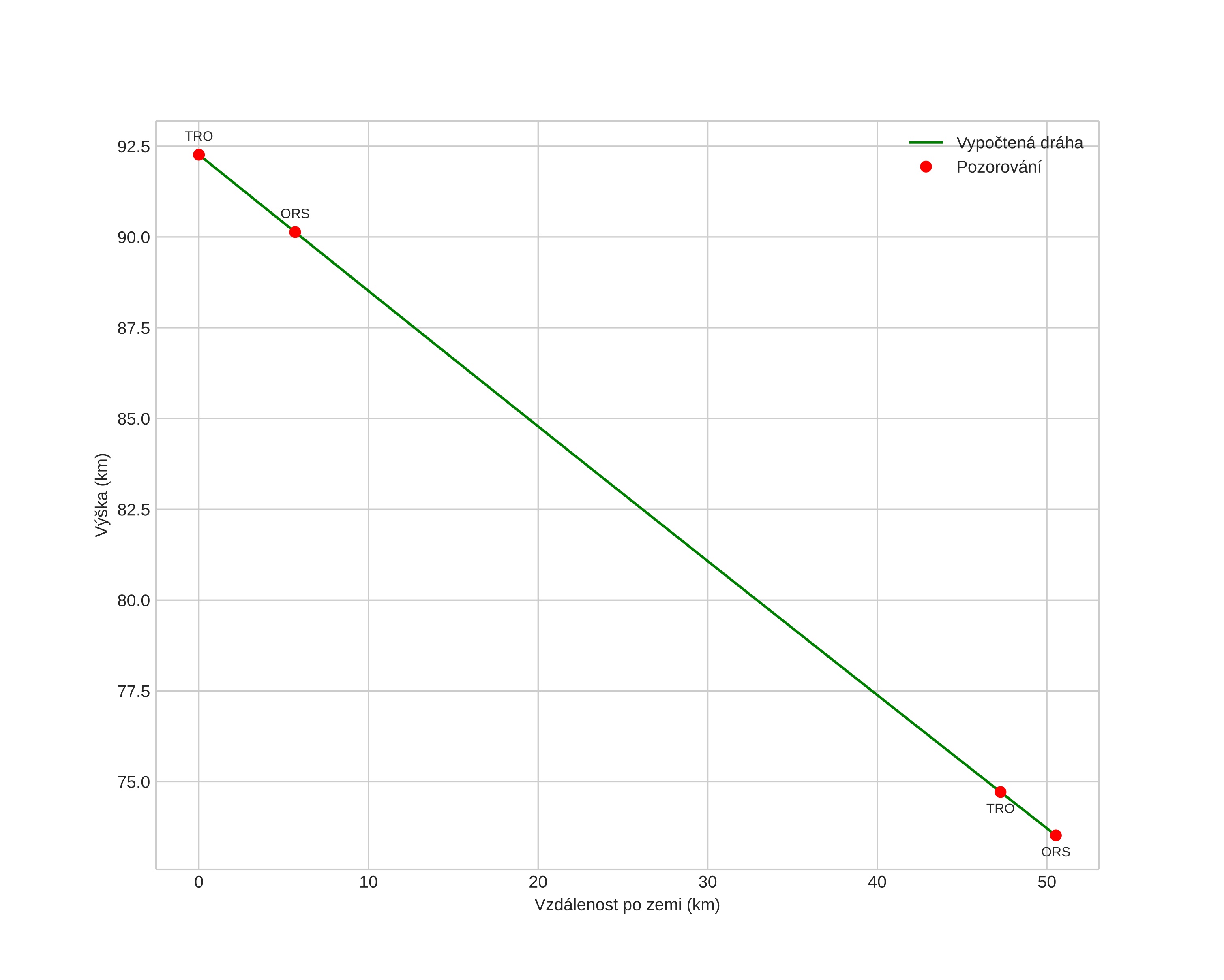
height profile
Atmosférická dráha meteoru:
Počáteční výška: 92,2 km
Konečná výška: 73,8 km
Počáteční poloha: 63,456N 9,484E
Konečná poloha: 63,303N 8,539E
Směr: 250,6°
Sklon: 20,2°
VstupnĂ­ rychlost: 29,7 km/s
Rektascenze radiantu: 04:04 (61,2°)
Deklinace radiantu: 24,0°
MeteorickĂ˝ roj: SevernĂ­ Tauridy
Elementy dráhy meteoroidu:
Vzdálenost v periheliu: 0,377 AU
Excentricita: 0,815
Sklon dráhy: 3,5°
Délka vzestupného uzlu: 232,7°
Argument perihelia: 292,3°
Střední anomálie: 345,3°
Epocha: 2019 NOV 15 17:11:55
orbit plot

NeinteraktivnĂ­ graf | InteraktivnĂ­ graf

position vs time
speed and acceleration