🇳🇴 🇬🇧 🇩🇪 🇨🇿 🇫🇮

Meteor, poloha: Kautokeino 2019-11-15 22:36:28 UTC

Soubor KML  |  Interaktivní mapa

Mapa zobrazuje dráhy meteoru. Světlejší čáry ukazují směry od pozorovacích stanic při objevení se meteoru a tmavší čáry, kde byl naposledy viděn. Modrá šipka značí viditelnou dráhu meteoru.

static map
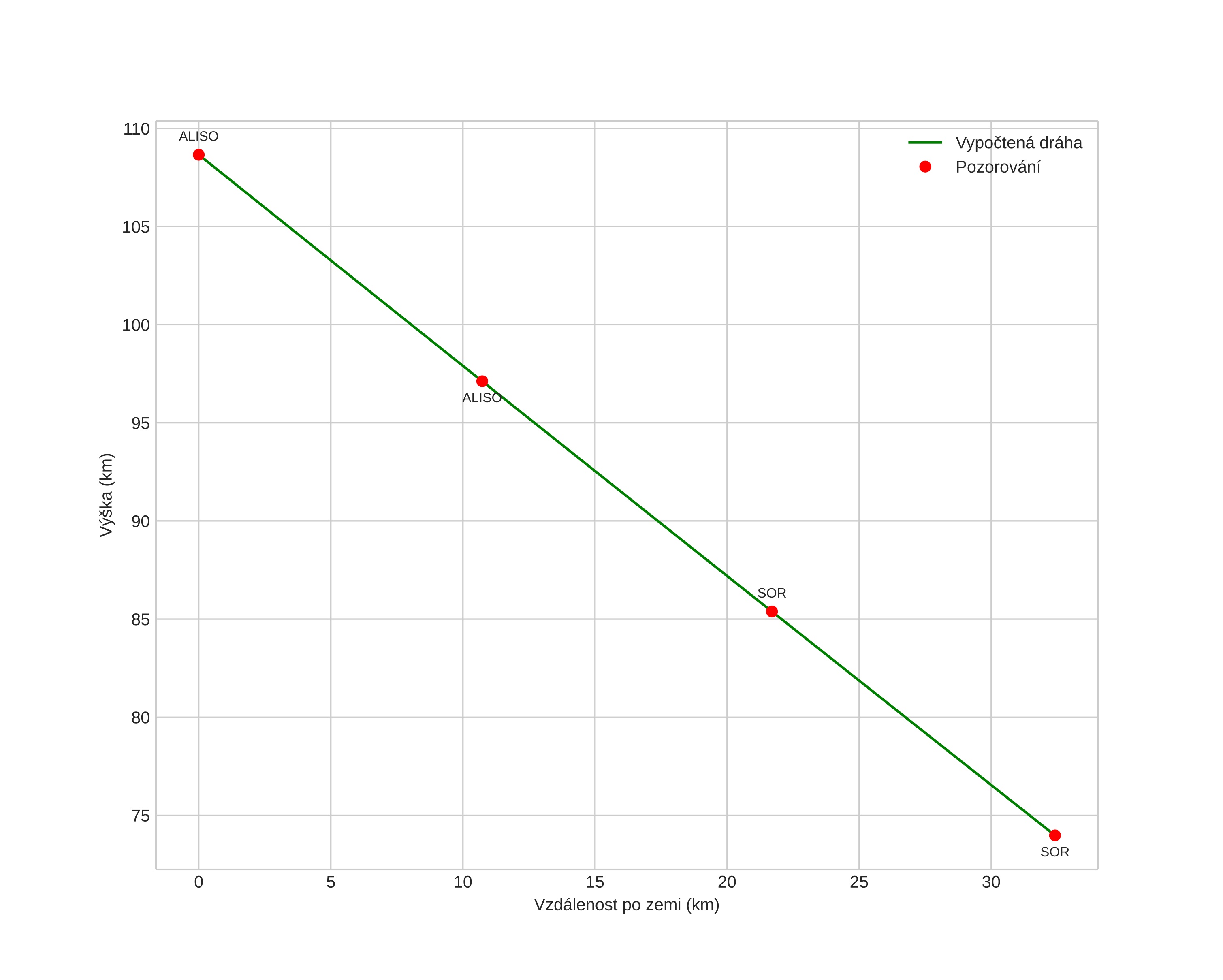
height profile
Atmosférická dráha meteoru:
Počáteční výška: 107,5 km
Konečná výška: 72,9 km
Počáteční poloha: 68,371N 22,525E
Konečná poloha: 68,655N 22,319E
Směr: 345,2°
Sklon: 46,7°
Vstupní rychlost: 33,6 km/s
Rektascenze radiantu: 04:28 (67,0°)
Deklinace radiantu: 24,2°
Meteorický roj: Severní Tauridy
Elementy dráhy meteoroidu:
Vzdálenost v periheliu: 0,267 AU
Excentricita: 0,882
Sklon dráhy: 3,6°
Délka vzestupného uzlu: 233,0°
Argument perihelia: 303,9°
Střední anomálie: 348,6°
Epocha: 2019 NOV 15 22:36:28
orbit plot

Neinteraktivní graf | Interaktivní graf

position vs time
speed and acceleration