🇳🇴 🇬🇧 🇩🇪 🇨🇿 🇫🇮

Meteor, poloha: Brøstadbotn 2019-11-16 03:12:46 UTC

Soubor KML  |  InteraktivnĂ­ mapa

Mapa zobrazuje dráhy meteoru. Světlejší čáry ukazují směry od pozorovacích stanic při objevení se meteoru a tmavší čáry, kde byl naposledy viděn. Modrá šipka značí viditelnou dráhu meteoru.

static map
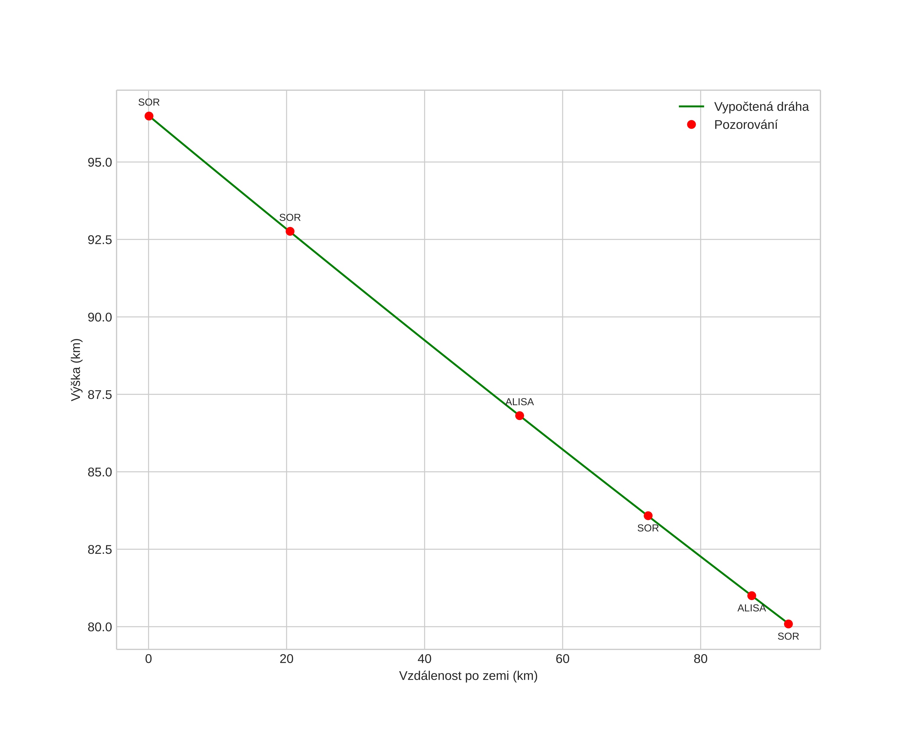
height profile
Atmosférická dráha meteoru:
Počáteční výška: 96,4 km
Konečná výška: 81,2 km
Počáteční poloha: 68,803N 15,721E
Konečná poloha: 69,204N 17,554E
Směr: 57,8°
Sklon: 10,1°
VstupnĂ­ rychlost: 30,1 km/s
Rektascenze radiantu: 04:03 (60,8°)
Deklinace radiantu: -4,9°
MeteorickĂ˝ roj: sporadickĂ˝
Elementy dráhy meteoroidu:
Vzdálenost v periheliu: 0,549 AU
Excentricita: 0,878
Sklon dráhy: 22,9°
Délka vzestupného uzlu: 53,2°
Argument perihelia: 87,3°
Střední anomálie: 355,8°
Epocha: 2019 NOV 16 03:12:46
orbit plot

NeinteraktivnĂ­ graf | InteraktivnĂ­ graf

position vs time
speed and acceleration