🇳🇴 🇬🇧 🇩🇪 🇨🇿 🇫🇮

Meteor über Husøya 2019-11-16 03:32:55 UTC

KML-Datei  |  Interaktive Karte

Die Karte zeigt die Peilungen für den Meteor. Die helleren Linien zeigen die Richtungen von den Beobachtungsorten beim Erscheinen des Meteors, und die dunkleren Linien, wo er zuletzt gesehen wurde. Der blaue Pfeil zeigt die sichtbare Bahn des Meteors.

static map
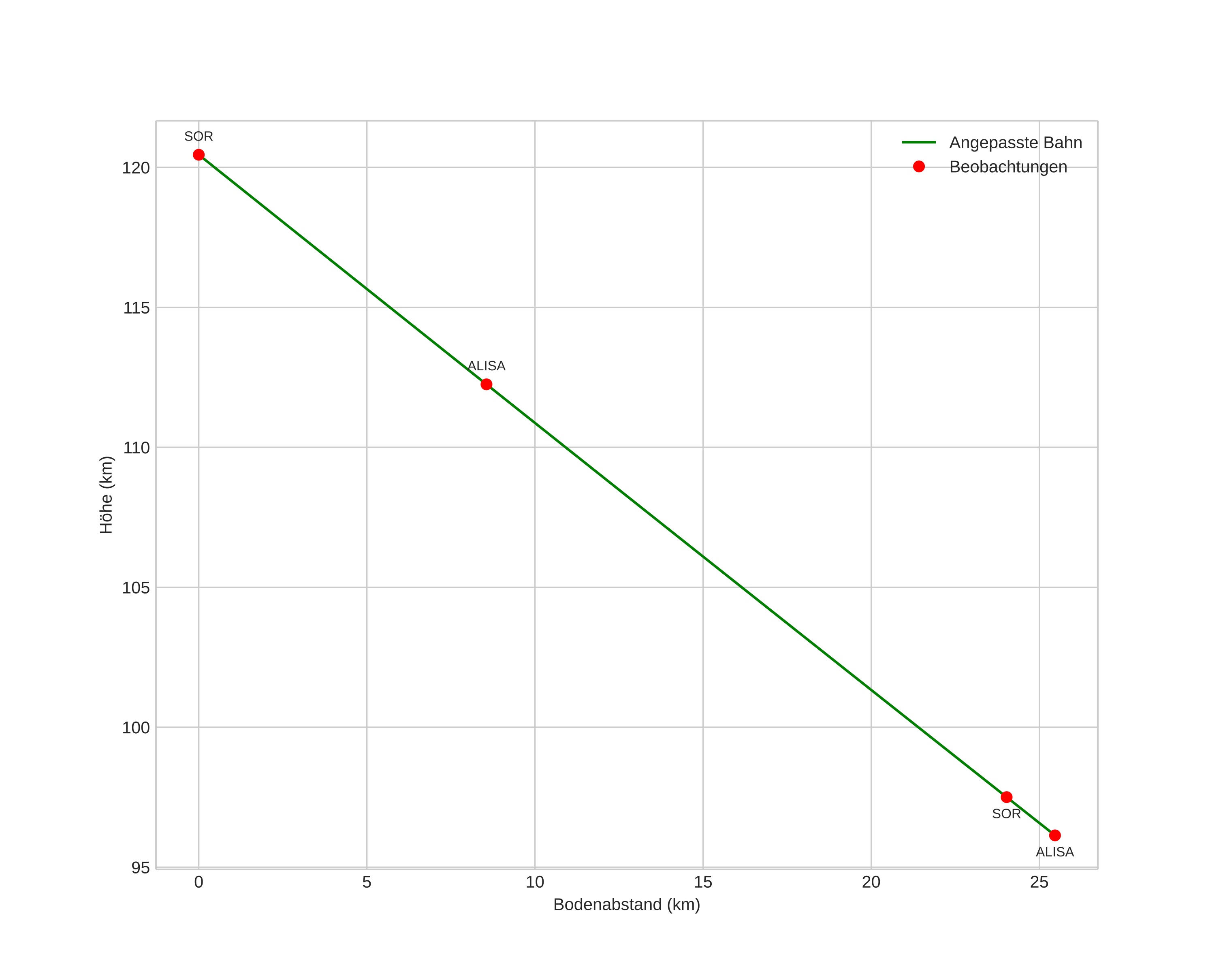
height profile
Atmosphärische Bahn des Meteors:
Anfangshöhe: 120,5 km
Endhöhe: 96,1 km
Startposition: 66,807N 11,444E
Endposition: 66,996N 11,117E
Richtung: 326,1°
Neigungswinkel: 43,8°
Eintrittsgeschwindigkeit: 73,8 km/s
Rektaszension des Radianten: 09:40 (145,2°)
Deklination des Radianten: 23,4°
Meteorstrom: Leoniden
Bahnelemente des Meteoroiden:
Periheldistanz: 0,978 AU
Exzentrizität: 1,116
Inklination: 164,8°
Länge des aufsteigenden Knotens: 233,2°
Argument des Perihels: 191,8°
Mittlere Anomalie: -0,3°
Epoche: 2019 NOV 16 03:32:55
orbit plot

Nicht-interaktives Diagramm | Interaktives Diagramm

position vs time
speed and acceleration

Sorreisa (SOR) cam3


gnomonic
Videos
• Gnomonisch
• Gnomonisch mit Koordinaten
• Original
• Original mit Koordinaten
Bilder
• Gnomonisch
• Gnomonisch mit Koordinaten
• Gnomonisch mit Beschriftungen
• Original
• Original mit Koordinaten
• Original mit Maske
Textdateien
• Erkennung
• Beobachtung
• Koordinaten
• Fehlermeldungen
• Protokoll
Helligkeit