🇳🇴 🇬🇧 🇩🇪 🇨🇿 🇫🇮

Meteor, poloha: Lødingen 2019-11-16 20:35:13 UTC

Soubor KML  |  InteraktivnĂ­ mapa

Mapa zobrazuje dráhy meteoru. Světlejší čáry ukazují směry od pozorovacích stanic při objevení se meteoru a tmavší čáry, kde byl naposledy viděn. Modrá šipka značí viditelnou dráhu meteoru.

static map
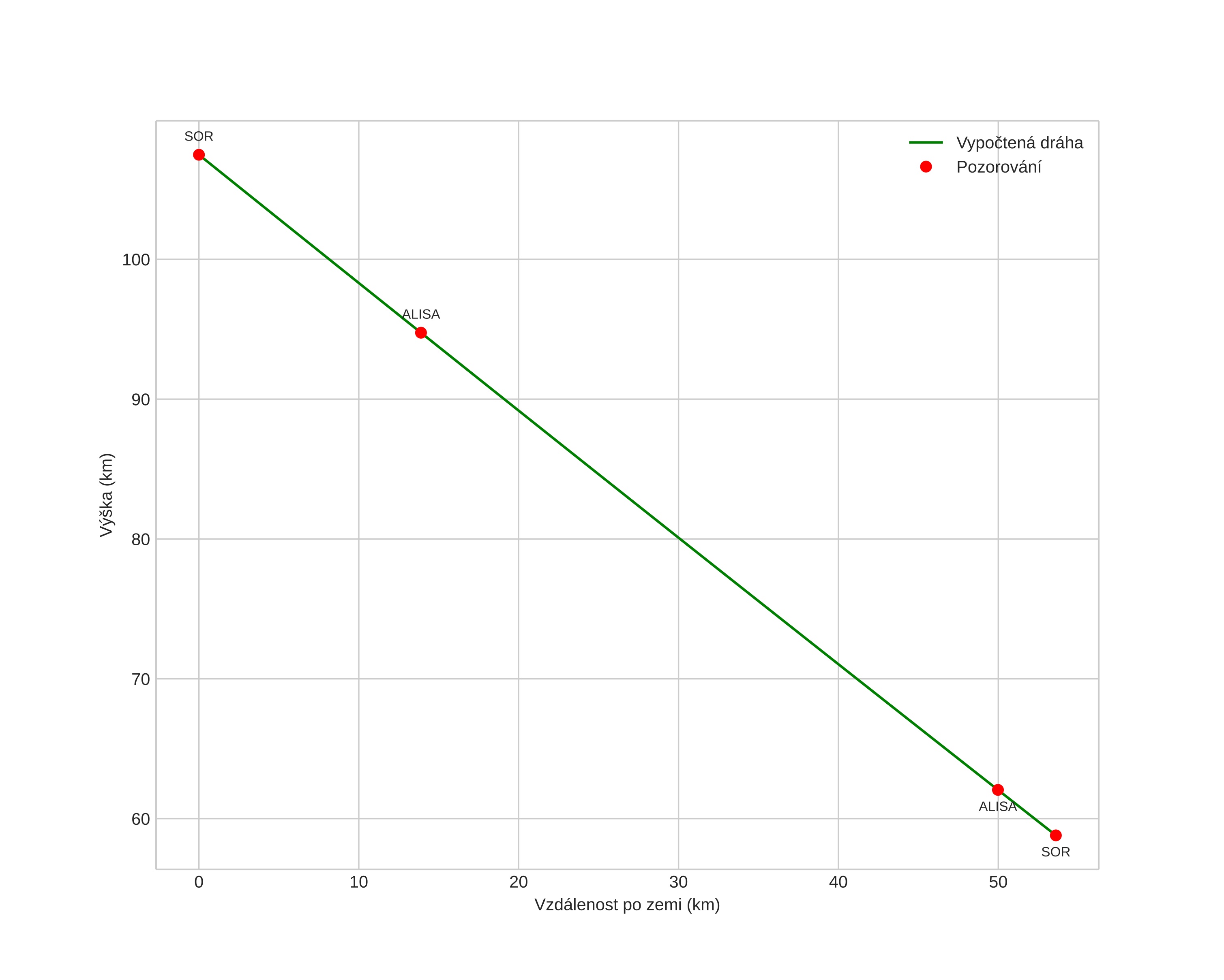
height profile
Atmosférická dráha meteoru:
Počáteční výška: 111,2 km
Konečná výška: 64,2 km
Počáteční poloha: 67,401N 17,491E
Konečná poloha: 67,705N 16,505E
Směr: 309,4°
Sklon: 41,1°
VstupnĂ­ rychlost: 33,0 km/s
Rektascenze radiantu: 04:06 (61,7°)
Deklinace radiantu: 23,5°
MeteorickĂ˝ roj: SevernĂ­ Tauridy
Elementy dráhy meteoroidu:
Vzdálenost v periheliu: 0,350 AU
Excentricita: 0,905
Sklon dráhy: 3,3°
Délka vzestupného uzlu: 233,9°
Argument perihelia: 291,1°
Střední anomálie: 354,4°
Epocha: 2019 NOV 16 20:35:13
orbit plot

NeinteraktivnĂ­ graf | InteraktivnĂ­ graf

position vs time
speed and acceleration