🇳🇴 🇬🇧 🇩🇪 🇨🇿 🇫🇮

Meteor über Kautokeino 2019-11-17 21:46:34 UTC

KML-Datei  |  Interaktive Karte

Die Karte zeigt die Peilungen für den Meteor. Die helleren Linien zeigen die Richtungen von den Beobachtungsorten beim Erscheinen des Meteors, und die dunkleren Linien, wo er zuletzt gesehen wurde. Der blaue Pfeil zeigt die sichtbare Bahn des Meteors.

static map
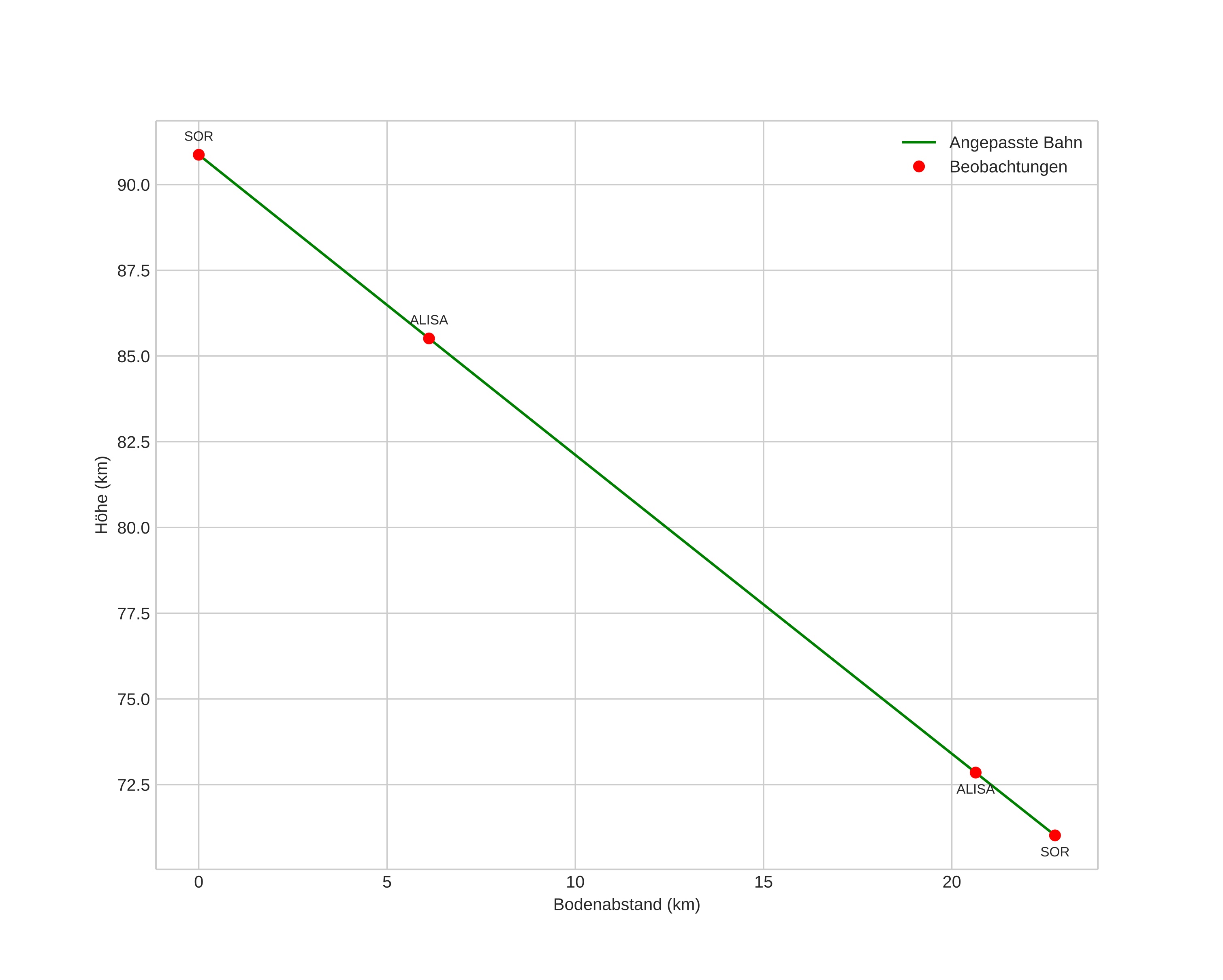
height profile
Atmosphärische Bahn des Meteors:
Anfangshöhe: 91,0 km
Endhöhe: 71,6 km
Startposition: 67,951N 22,396E
Endposition: 68,146N 22,281E
Richtung: 347,7°
Neigungswinkel: 41,1°
Eintrittsgeschwindigkeit: 26,0 km/s
Rektaszension des Radianten: 03:39 (54,9°)
Deklination des Radianten: 16,7°
Meteorstrom: Südliche Tauriden
Bahnelemente des Meteoroiden:
Periheldistanz: 0,537 AU
Exzentrizität: 0,784
Inklination: 2,2°
Länge des aufsteigenden Knotens: 55,0°
Argument des Perihels: 92,2°
Mittlere Anomalie: 348,9°
Epoche: 2019 NOV 17 21:46:34
orbit plot

Nicht-interaktives Diagramm | Interaktives Diagramm

position vs time
speed and acceleration