🇳🇴 🇬🇧 🇩🇪 🇨🇿 🇫🇮

Meteor über Arvidsjaur 2019-11-17 22:04:00 UTC

KML-Datei  |  Interaktive Karte

Die Karte zeigt die Peilungen für den Meteor. Die helleren Linien zeigen die Richtungen von den Beobachtungsorten beim Erscheinen des Meteors, und die dunkleren Linien, wo er zuletzt gesehen wurde. Der blaue Pfeil zeigt die sichtbare Bahn des Meteors.

static map
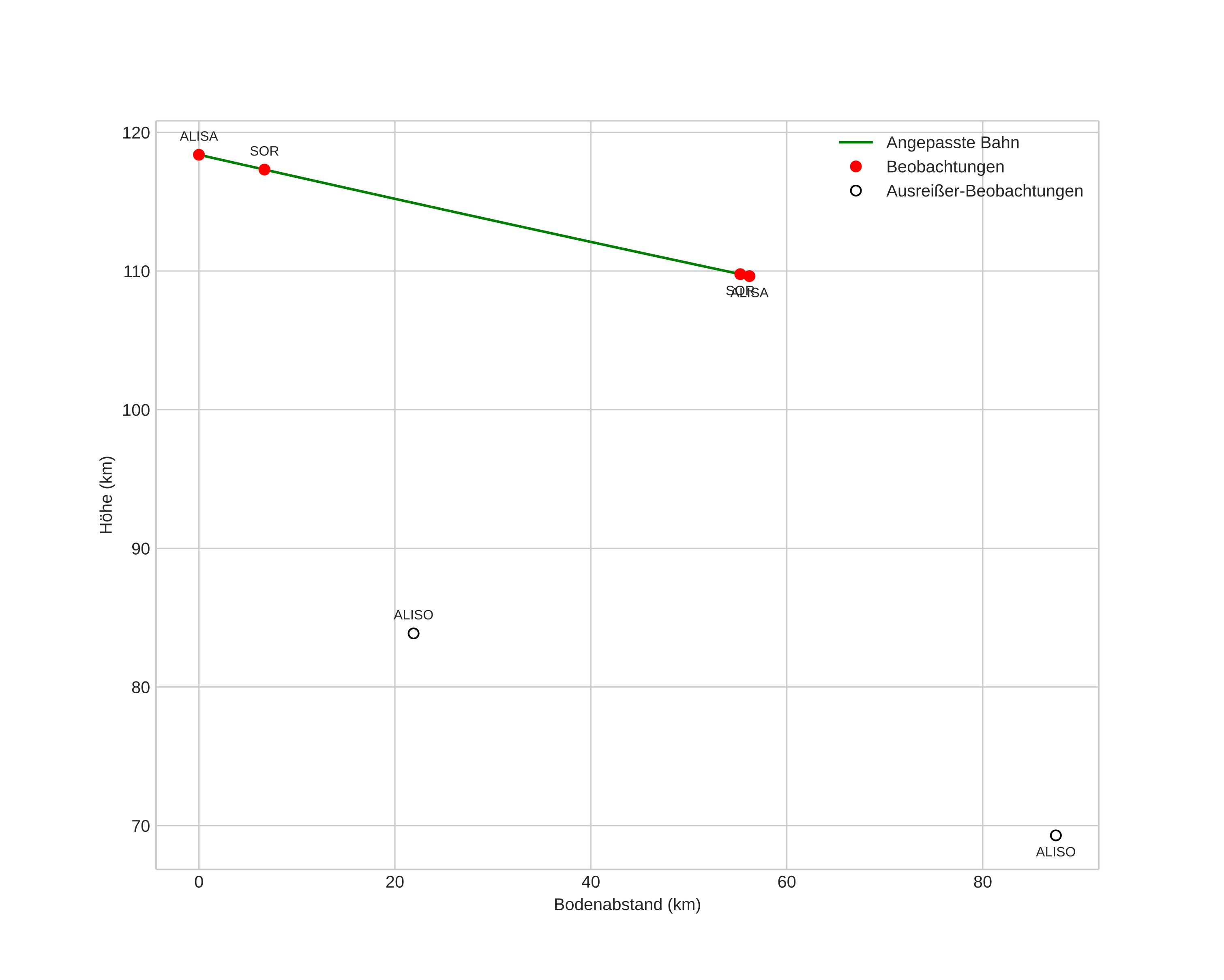
height profile
Atmosphärische Bahn des Meteors:
Anfangshöhe: 118,6 km
Endhöhe: 109,7 km
Startposition: 66,157N 20,191E
Endposition: 65,869N 19,170E
Richtung: 235,8°
Neigungswinkel: 9,0°
Eintrittsgeschwindigkeit: 80,0 km/s
Rektaszension des Radianten: 11:05 (166,4°)
Deklination des Radianten: 21,3°
Meteorstrom: sporadisch
Bahnelemente des Meteoroiden:
Periheldistanz: 0,893 AU
Exzentrizität: 1,879
Inklination: 156,3°
Länge des aufsteigenden Knotens: 235,0°
Argument des Perihels: 148,3°
Mittlere Anomalie: 16,5°
Epoche: 2019 NOV 17 22:04:00
orbit plot

Nicht-interaktives Diagramm | Interaktives Diagramm

position vs time
speed and acceleration