🇳🇴 🇬🇧 🇩🇪 🇨🇿 🇫🇮

Meteor Byrumin yllä 2019-11-20 00:17:16 UTC

KML-tiedosto  |  Interaktiivinen kartta

Kartta näyttää meteorin suuntahavainnot. Vaaleammat viivat näyttävät suunnat havaintoasemilta meteorin ilmestyessä, ja tummemmat viivat näyttävät, missä se viimeksi nähtiin. Sininen nuoli näyttää meteorin näkyvän lennon.

static map
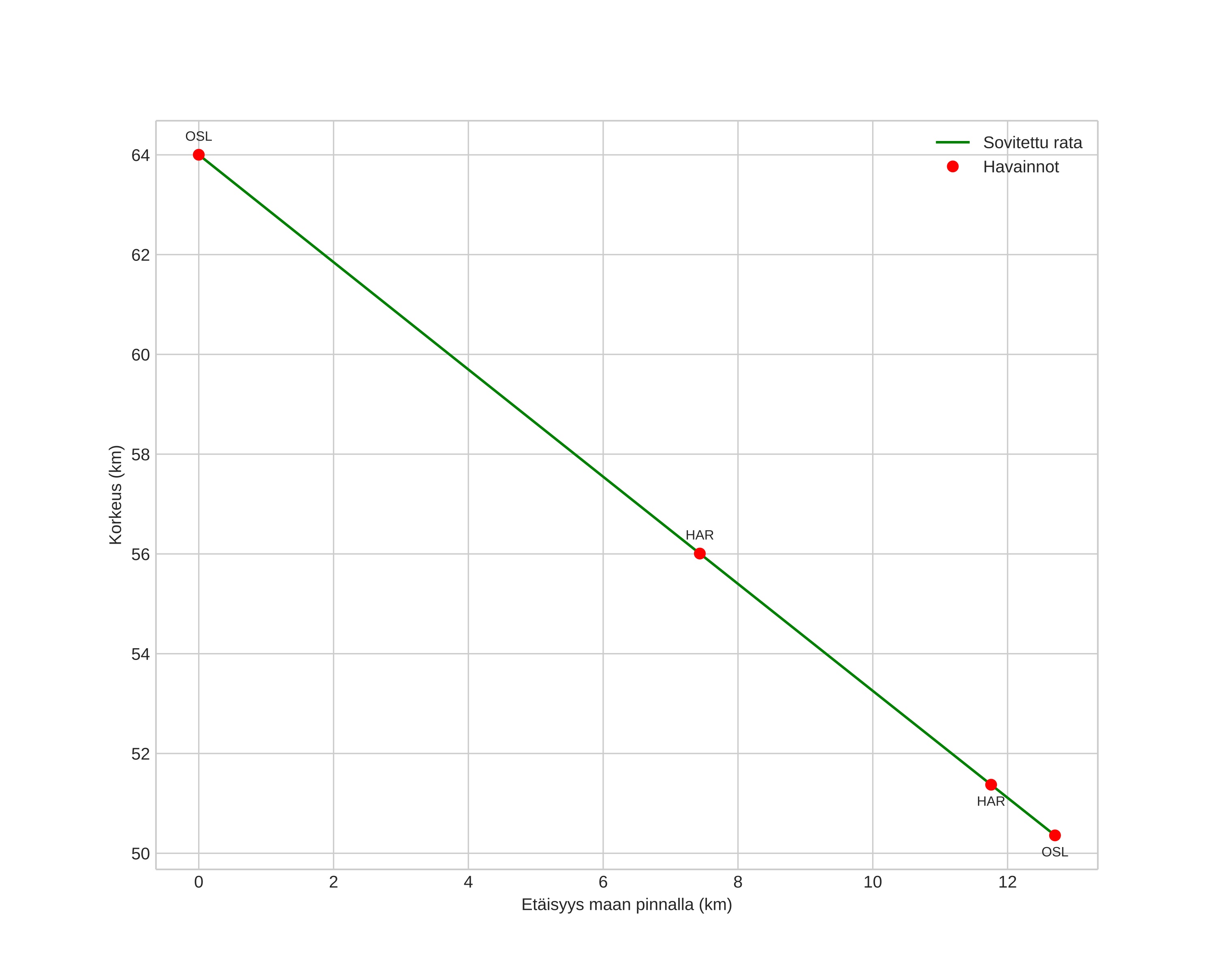
height profile
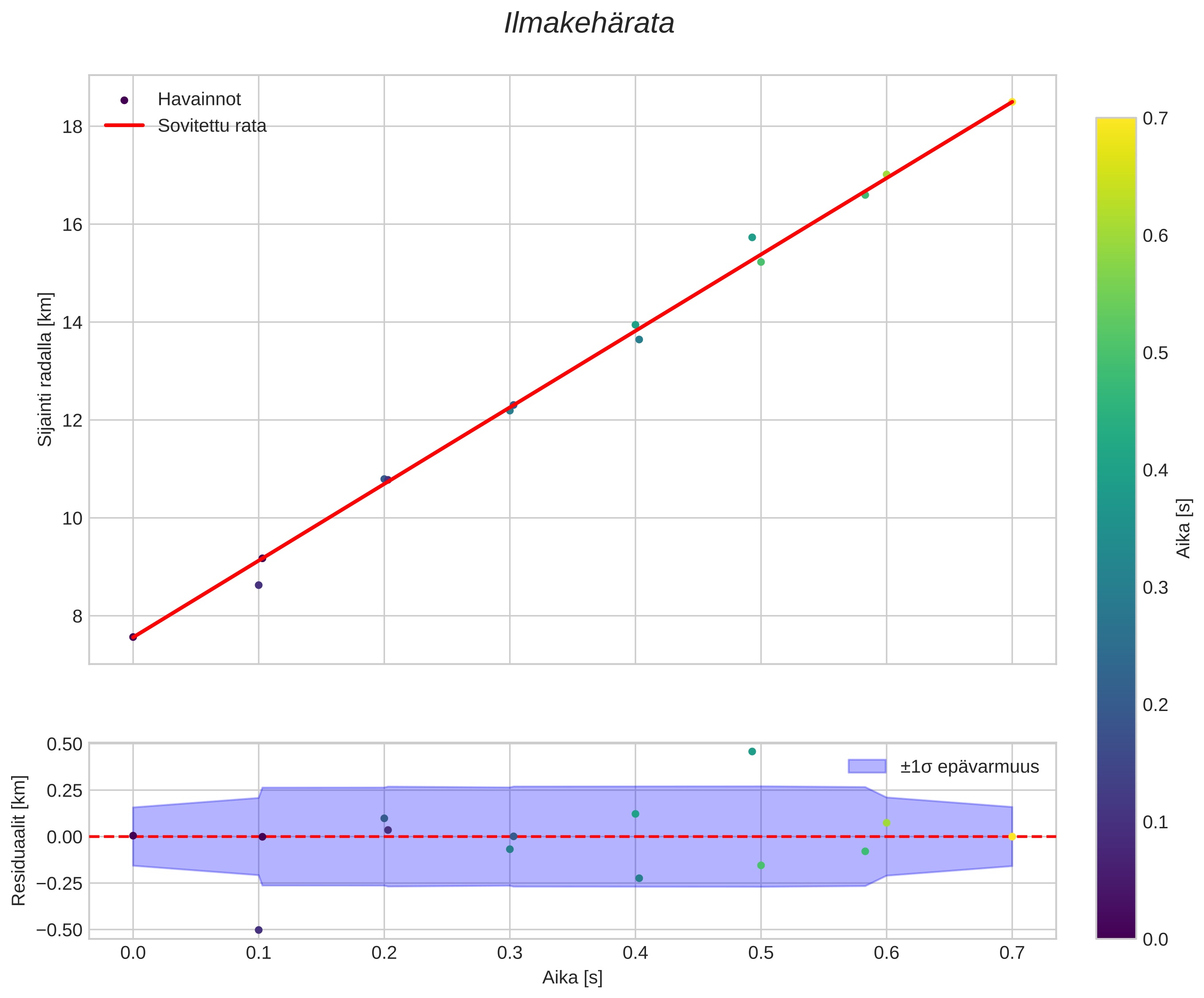
Meteorin ilmakehärata:
Alkukorkeus: 73,8 km
Loppukorkeus: 59,0 km
Alkupiste: 56,889N 10,900E
Loppupiste: 56,945N 10,965E
Suunta: 31,8°
Kallistuskulma: 63,3°
Tulonopeus: 20,7 km/s
Radiantin R,A,: 03:42 (55,6°)
Radiantin Dekl,: 30,2°
Meteoriparvi: Sporadinen
Meteoroidin rataelementit:
Perihelietäisyys: 0,603 AU
Eksentrisyys: 0,574
Inklinaatio: 6,1°
Nousevan solmun pituus: 237,1°
Perihelin argumentti: 274,0°
Keskianomalia: 329,8°
Epookki: 2019 NOV 20 00:17:16
orbit plot

Ei-interaktiivinen kuvaaja | Interaktiivinen kuvaaja

position vs time
speed and acceleration