🇳🇴 🇬🇧 🇩🇪 🇨🇿 🇫🇮

Meteor, poloha: Hirtshals 2019-11-20 00:35:20 UTC

Soubor KML  |  InteraktivnĂ­ mapa

Mapa zobrazuje dráhy meteoru. Světlejší čáry ukazují směry od pozorovacích stanic při objevení se meteoru a tmavší čáry, kde byl naposledy viděn. Modrá šipka značí viditelnou dráhu meteoru.

static map
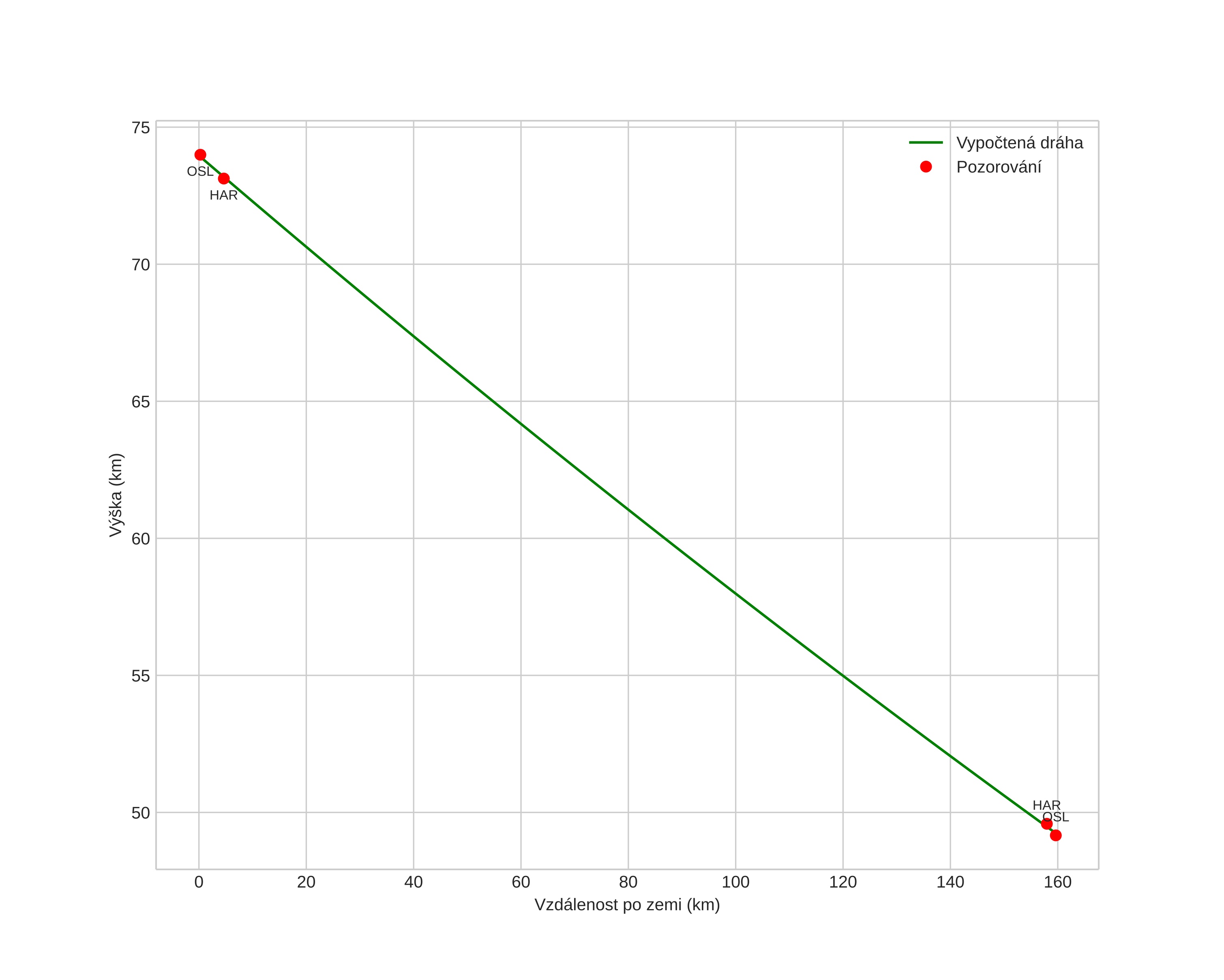
height profile
Atmosférická dráha meteoru:
Počáteční výška: 86,4 km
Konečná výška: 56,0 km
Počáteční poloha: 57,332N 9,928E
Konečná poloha: 57,798N 10,091E
Směr: 10,5°
Sklon: 29,9°
VstupnĂ­ rychlost: 80,9 km/s
Rektascenze radiantu: 04:31 (67,9°)
Deklinace radiantu: -2,7°
MeteorickĂ˝ roj: sporadickĂ˝
Elementy dráhy meteoroidu:
Vzdálenost v periheliu: 0,387 AU
Excentricita: 3,152
Sklon dráhy: 59,6°
Délka vzestupného uzlu: 57,1°
Argument perihelia: 78,6°
Střední anomálie: -248,4°
Epocha: 2019 NOV 20 00:35:20
orbit plot

NeinteraktivnĂ­ graf | InteraktivnĂ­ graf

position vs time
speed and acceleration