🇳🇴 🇬🇧 🇩🇪 🇨🇿 🇫🇮

Meteor, poloha: Mandal 2019-11-20 01:14:23 UTC

Soubor KML  |  InteraktivnĂ­ mapa

Mapa zobrazuje dráhy meteoru. Světlejší čáry ukazují směry od pozorovacích stanic při objevení se meteoru a tmavší čáry, kde byl naposledy viděn. Modrá šipka značí viditelnou dráhu meteoru.

static map
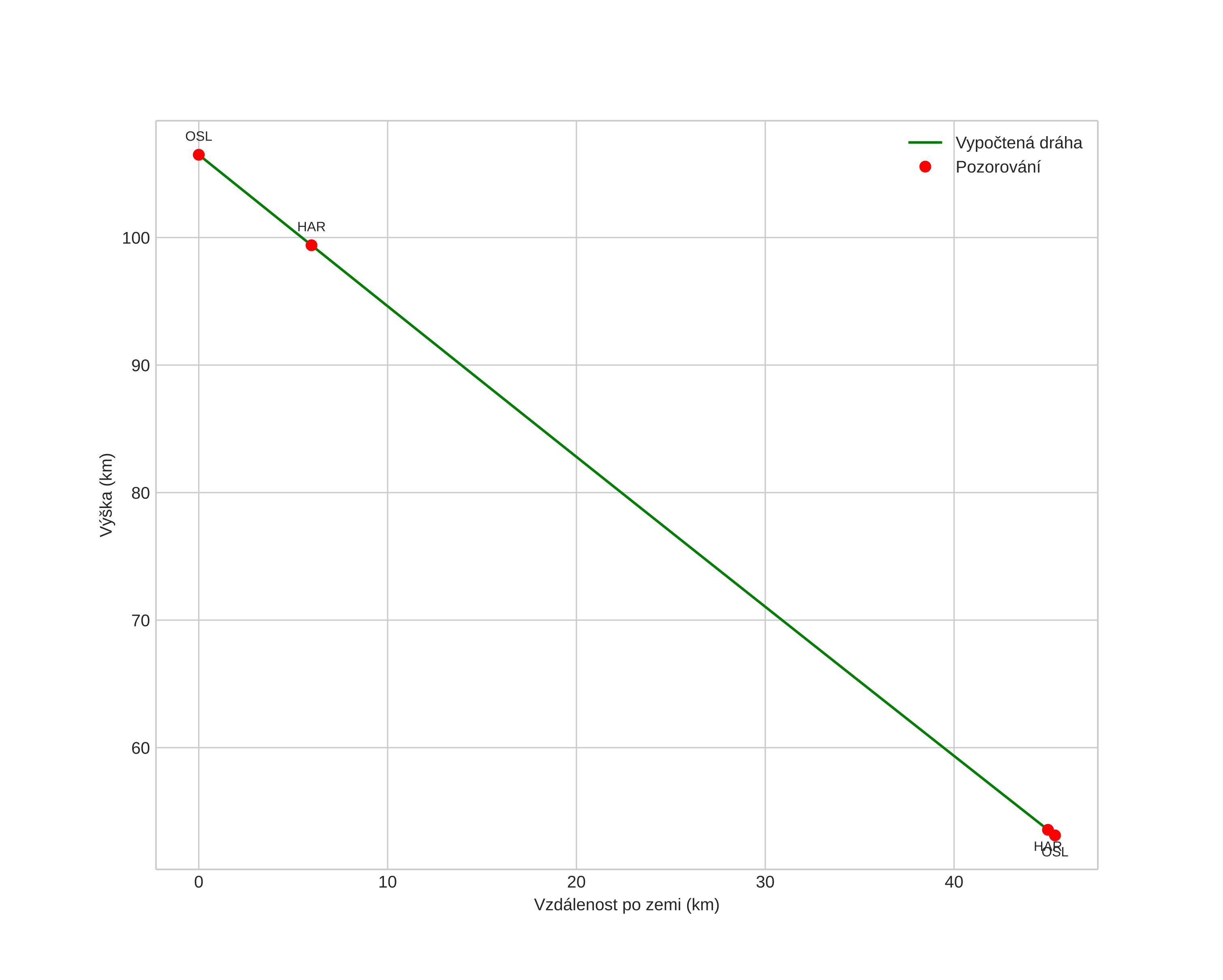
height profile
Atmosférická dráha meteoru:
Počáteční výška: 107,3 km
Konečná výška: 55,2 km
Počáteční poloha: 57,831N 7,168E
Konečná poloha: 58,141N 7,535E
Směr: 32,0°
Sklon: 52,0°
VstupnĂ­ rychlost: 33,9 km/s
Rektascenze radiantu: 04:10 (62,7°)
Deklinace radiantu: 21,6°
MeteorickĂ˝ roj: SevernĂ­ Tauridy
Elementy dráhy meteoroidu:
Vzdálenost v periheliu: 0,376 AU
Excentricita: 0,963
Sklon dráhy: 0,7°
Délka vzestupného uzlu: 236,9°
Argument perihelia: 285,5°
Střední anomálie: 358,8°
Epocha: 2019 NOV 20 01:14:23
orbit plot

NeinteraktivnĂ­ graf | InteraktivnĂ­ graf

position vs time
speed and acceleration