🇳🇴 🇬🇧 🇩🇪 🇨🇿 🇫🇮

Meteor Utsjokin yllä 2019-11-20 02:42:25 UTC

KML-tiedosto  |  Interaktiivinen kartta

Kartta näyttää meteorin suuntahavainnot. Vaaleammat viivat näyttävät suunnat havaintoasemilta meteorin ilmestyessä, ja tummemmat viivat näyttävät, missä se viimeksi nähtiin. Sininen nuoli näyttää meteorin näkyvän lennon.

static map
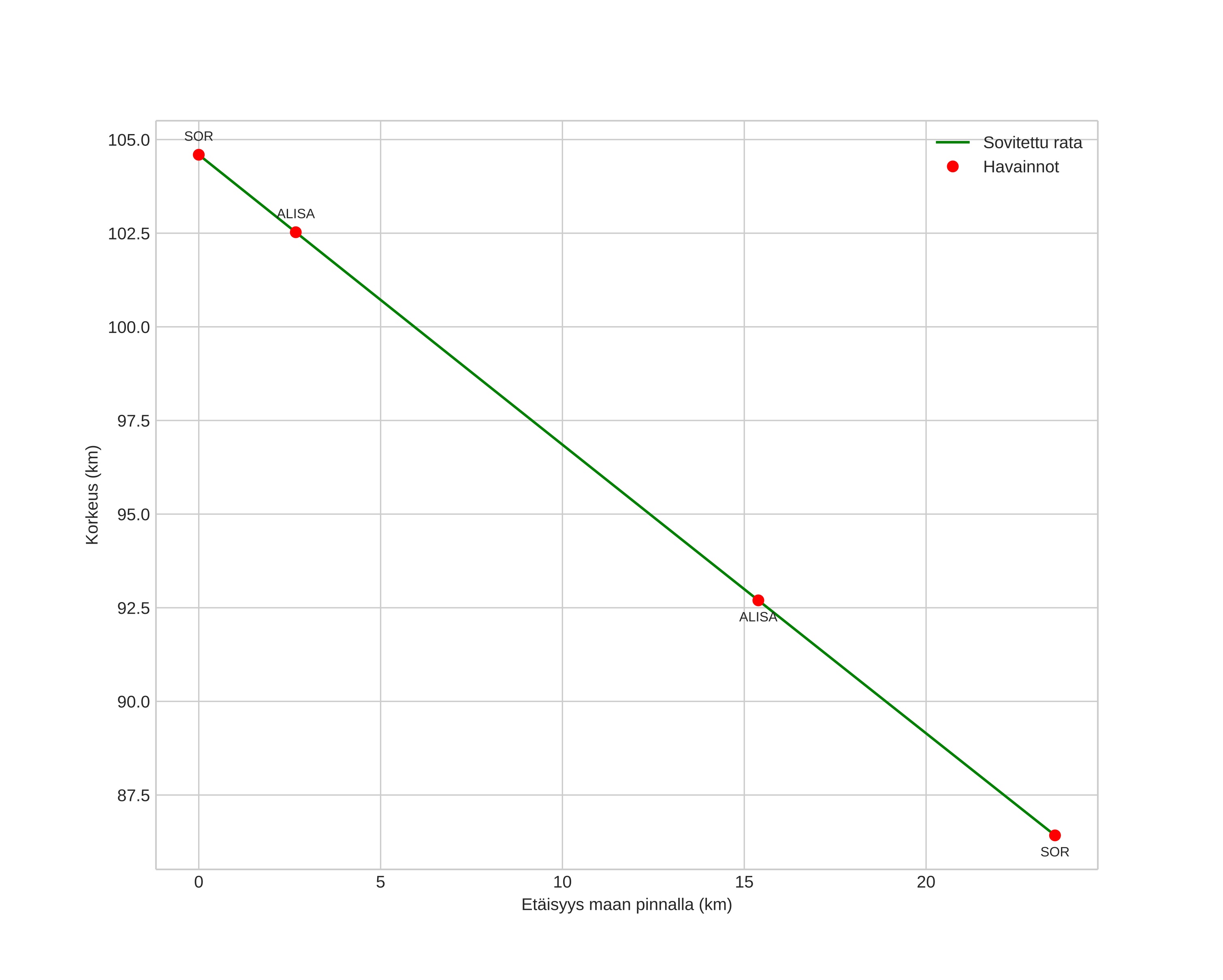
height profile
Meteorin ilmakehärata:
Alkukorkeus: 103,3 km
Loppukorkeus: 93,2 km
Alkupiste: 70,265N 26,828E
Loppupiste: 70,404N 26,753E
Suunta: 349,6°
Kallistuskulma: 32,7°
Tulonopeus: 65,7 km/s
Radiantin R,A,: 08:58 (134,7°)
Radiantin Dekl,: 12,8°
Meteoriparvi: Sporadinen
Meteoroidin rataelementit:
Perihelietäisyys: 0,741 AU
Eksentrisyys: 0,608
Inklinaatio: 171,8°
Nousevan solmun pituus: 57,2°
Perihelin argumentti: 70,3°
Keskianomalia: 343,3°
Epookki: 2019 NOV 20 02:42:25
orbit plot

Ei-interaktiivinen kuvaaja | Interaktiivinen kuvaaja

position vs time
speed and acceleration