🇳🇴 🇬🇧 🇩🇪 🇨🇿 🇫🇮

Meteor, poloha: FosnavĂĄg 2019-11-21 05:18:44 UTC

Soubor KML  |  InteraktivnĂ­ mapa

Mapa zobrazuje dráhy meteoru. Světlejší čáry ukazují směry od pozorovacích stanic při objevení se meteoru a tmavší čáry, kde byl naposledy viděn. Modrá šipka značí viditelnou dráhu meteoru.

static map
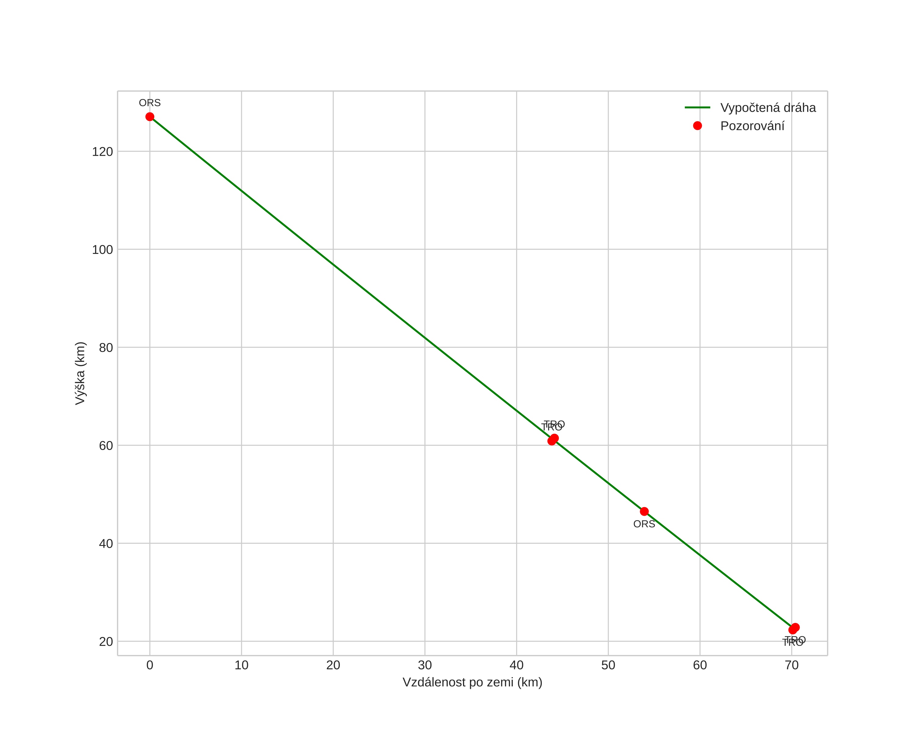
height profile
Atmosférická dráha meteoru:
Počáteční výška: 163,7 km
Konečná výška: 22,7 km
Počáteční poloha: 63,280N 4,857E
Konečná poloha: 62,479N 5,443E
Směr: 161,3°
Sklon: 56,3°
VstupnĂ­ rychlost: 72,4 km/s
Rektascenze radiantu: 01:44 (26,0°)
Deklinace radiantu: 78,0°
MeteorickĂ˝ roj: sporadickĂ˝
Elementy dráhy meteoroidu:
Vzdálenost v periheliu: 0,844 AU
Excentricita: 4,688
Sklon dráhy: 69,0°
Délka vzestupného uzlu: 238,3°
Argument perihelia: 214,5°
Střední anomálie: -114,2°
Epocha: 2019 NOV 21 05:18:44
orbit plot

NeinteraktivnĂ­ graf | InteraktivnĂ­ graf

position vs time
speed and acceleration