🇳🇴 🇬🇧 🇩🇪 🇨🇿 🇫🇮

Meteor, poloha: Kiruna 2019-11-27 03:34:41 UTC

Soubor KML  |  InteraktivnĂ­ mapa

Mapa zobrazuje dráhy meteoru. Světlejší čáry ukazují směry od pozorovacích stanic při objevení se meteoru a tmavší čáry, kde byl naposledy viděn. Modrá šipka značí viditelnou dráhu meteoru.

static map
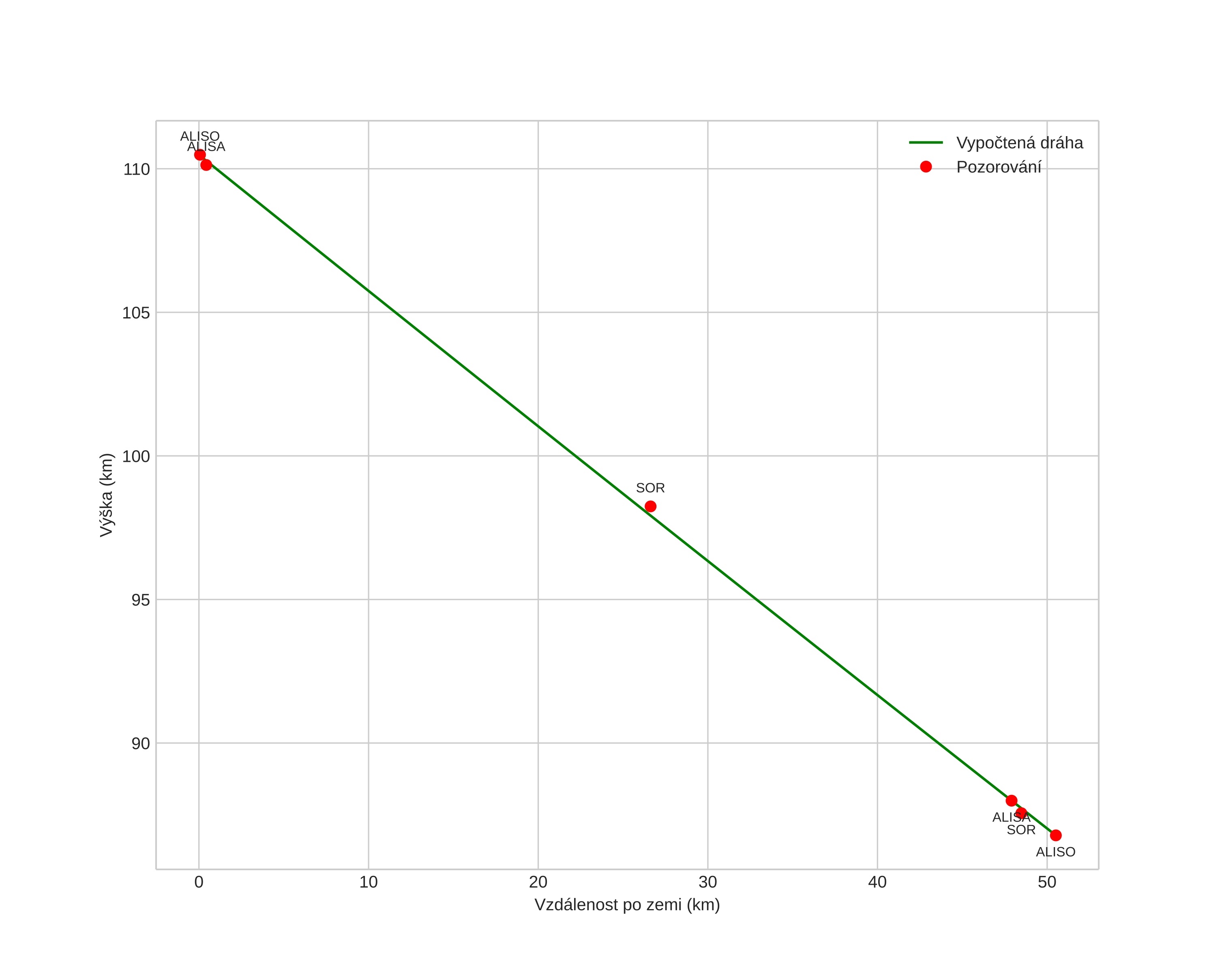
height profile
Atmosférická dráha meteoru:
Počáteční výška: 110,7 km
Konečná výška: 86,7 km
Počáteční poloha: 67,326N 19,910E
Konečná poloha: 67,738N 20,420E
Směr: 25,1°
Sklon: 25,3°
VstupnĂ­ rychlost: 59,1 km/s
Rektascenze radiantu: 07:44 (116,2°)
Deklinace radiantu: 3,9°
MeteorickĂ˝ roj: sporadickĂ˝
Elementy dráhy meteoroidu:
Vzdálenost v periheliu: 0,278 AU
Excentricita: 0,947
Sklon dráhy: 129,9°
Délka vzestupného uzlu: 64,3°
Argument perihelia: 118,5°
Střední anomálie: 357,0°
Epocha: 2019 NOV 27 03:34:41
orbit plot

NeinteraktivnĂ­ graf | InteraktivnĂ­ graf

position vs time
speed and acceleration