🇳🇴 🇬🇧 🇩🇪 🇨🇿 🇫🇮

Meteor, poloha: Gällivare 2019-11-28 17:33:23 UTC

Soubor KML  |  InteraktivnĂ­ mapa

Mapa zobrazuje dráhy meteoru. Světlejší čáry ukazují směry od pozorovacích stanic při objevení se meteoru a tmavší čáry, kde byl naposledy viděn. Modrá šipka značí viditelnou dráhu meteoru.

static map
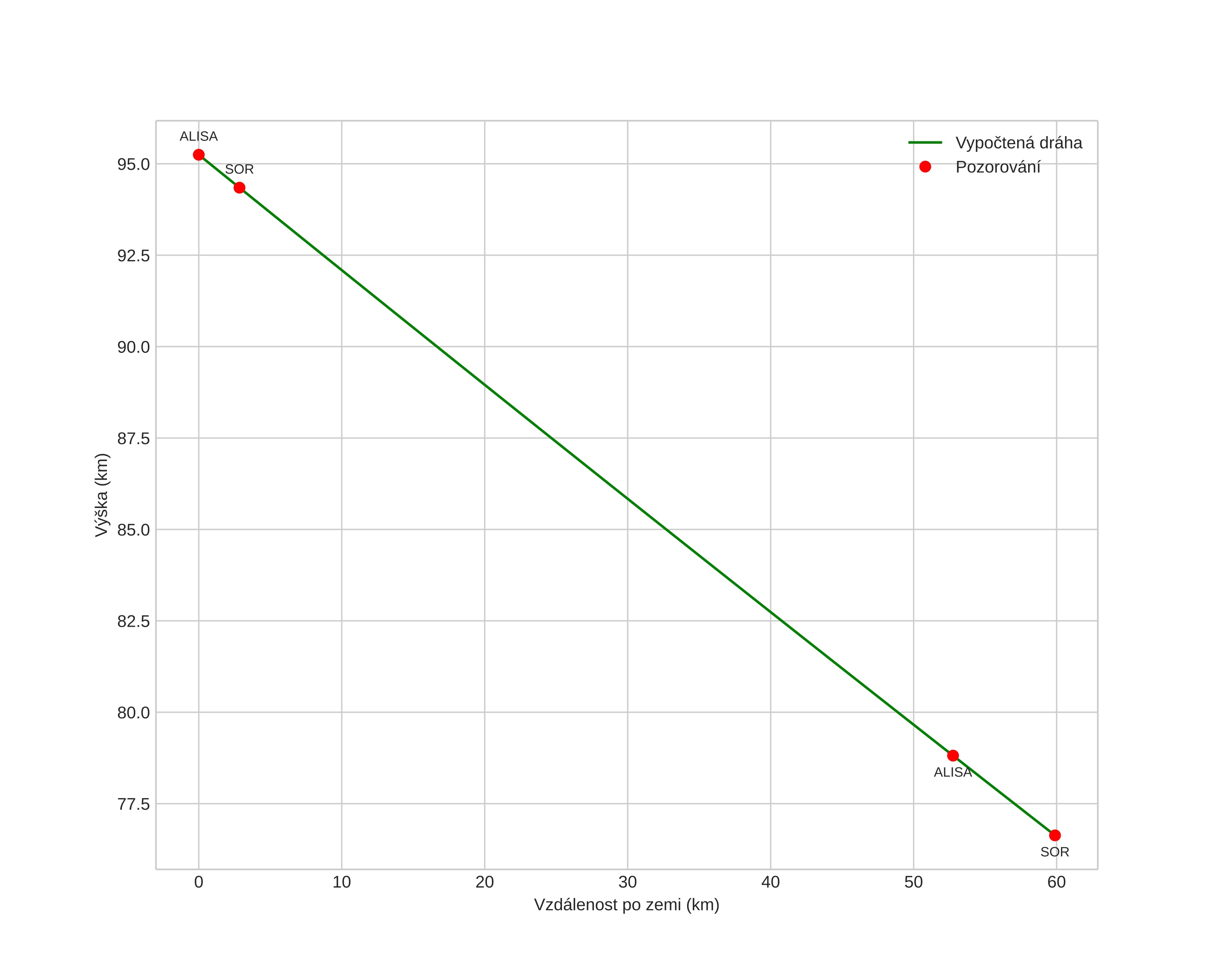
height profile
Atmosférická dráha meteoru:
Počáteční výška: 71,1 km
Konečná výška: 53,0 km
Počáteční poloha: 67,398N 20,546E
Konečná poloha: 67,017N 20,826E
Směr: 164,0°
Sklon: 22,4°
VstupnĂ­ rychlost: 52,6 km/s
Rektascenze radiantu: 12:47 (191,8°)
Deklinace radiantu: 43,0°
MeteorickĂ˝ roj: sporadickĂ˝
Elementy dráhy meteoroidu:
Vzdálenost v periheliu: 0,913 AU
Excentricita: 0,541
Sklon dráhy: 100,0°
Délka vzestupného uzlu: 245,9°
Argument perihelia: 141,9°
Střední anomálie: 10,1°
Epocha: 2019 NOV 28 17:33:23
orbit plot

NeinteraktivnĂ­ graf | InteraktivnĂ­ graf

position vs time
speed and acceleration