🇳🇴 🇬🇧 🇩🇪 🇨🇿 🇫🇮

Meteor, poloha: Maura 2019-11-30 21:45:04 UTC

Soubor KML  |  InteraktivnĂ­ mapa

Mapa zobrazuje dráhy meteoru. Světlejší čáry ukazují směry od pozorovacích stanic při objevení se meteoru a tmavší čáry, kde byl naposledy viděn. Modrá šipka značí viditelnou dráhu meteoru.

static map
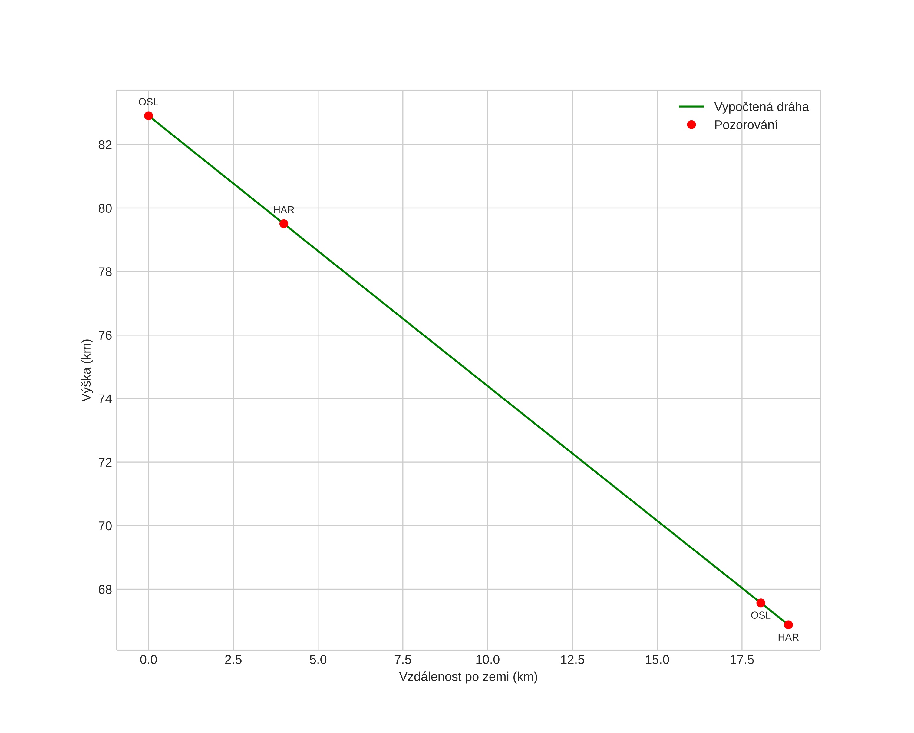
height profile
Atmosférická dráha meteoru:
Počáteční výška: 80,4 km
Konečná výška: 65,7 km
Počáteční poloha: 60,232N 11,137E
Konečná poloha: 60,353N 10,918E
Směr: 318,2°
Sklon: 39,2°
VstupnĂ­ rychlost: 31,5 km/s
Rektascenze radiantu: 05:16 (79,1°)
Deklinace radiantu: 13,4°
MeteorickĂ˝ roj: sporadickĂ˝
Elementy dráhy meteoroidu:
Vzdálenost v periheliu: 0,373 AU
Excentricita: 0,853
Sklon dráhy: 11,2°
Délka vzestupného uzlu: 68,1°
Argument perihelia: 110,6°
Střední anomálie: 349,9°
Epocha: 2019 NOV 30 21:45:04
orbit plot

NeinteraktivnĂ­ graf | InteraktivnĂ­ graf

position vs time
speed and acceleration