🇳🇴 🇬🇧 🇩🇪 🇨🇿 🇫🇮

Meteor, poloha: Tingvoll 2019-12-02 02:19:15 UTC

Soubor KML  |  InteraktivnĂ­ mapa

Mapa zobrazuje dráhy meteoru. Světlejší čáry ukazují směry od pozorovacích stanic při objevení se meteoru a tmavší čáry, kde byl naposledy viděn. Modrá šipka značí viditelnou dráhu meteoru.

static map
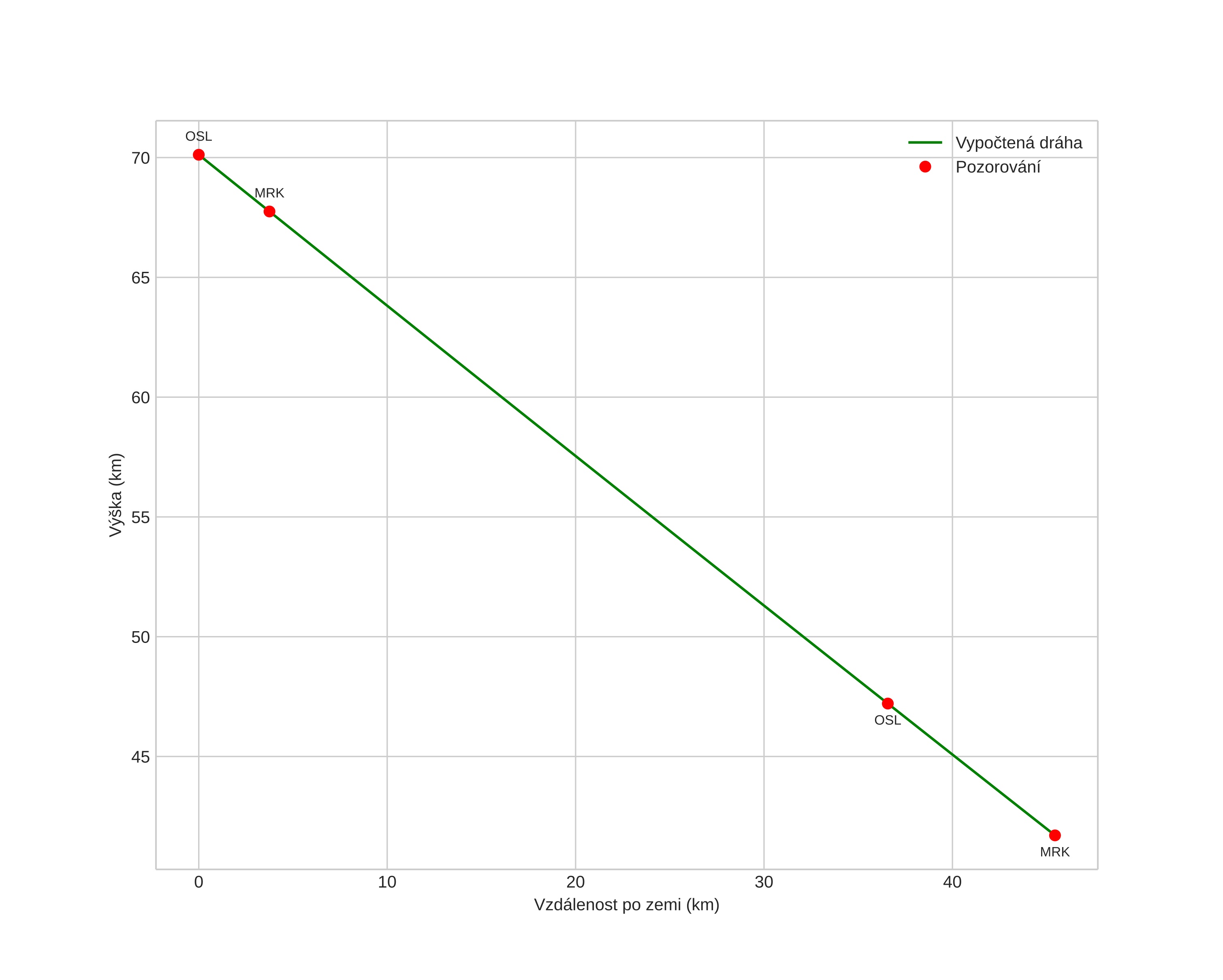
height profile
Atmosférická dráha meteoru:
Počáteční výška: 70,2 km
Konečná výška: 41,6 km
Počáteční poloha: 62,509N 7,793E
Konečná poloha: 62,892N 8,112E
Směr: 20,8°
Sklon: 32,1°
VstupnĂ­ rychlost: 27,8 km/s
Rektascenze radiantu: 06:17 (94,5°)
Deklinace radiantu: 3,3°
MeteorickĂ˝ roj: sporadickĂ˝
Elementy dráhy meteoroidu:
Vzdálenost v periheliu: 0,302 AU
Excentricita: 0,713
Sklon dráhy: 23,8°
Délka vzestupného uzlu: 69,3°
Argument perihelia: 131,8°
Střední anomálie: 315,7°
Epocha: 2019 DEC 02 02:19:15
orbit plot

NeinteraktivnĂ­ graf | InteraktivnĂ­ graf

position vs time
speed and acceleration