🇳🇴 🇬🇧 🇩🇪 🇨🇿 🇫🇮

Meteor, poloha: Straume 2019-12-10 18:56:52 UTC

Soubor KML  |  InteraktivnĂ­ mapa

Mapa zobrazuje dráhy meteoru. Světlejší čáry ukazují směry od pozorovacích stanic při objevení se meteoru a tmavší čáry, kde byl naposledy viděn. Modrá šipka značí viditelnou dráhu meteoru.

static map
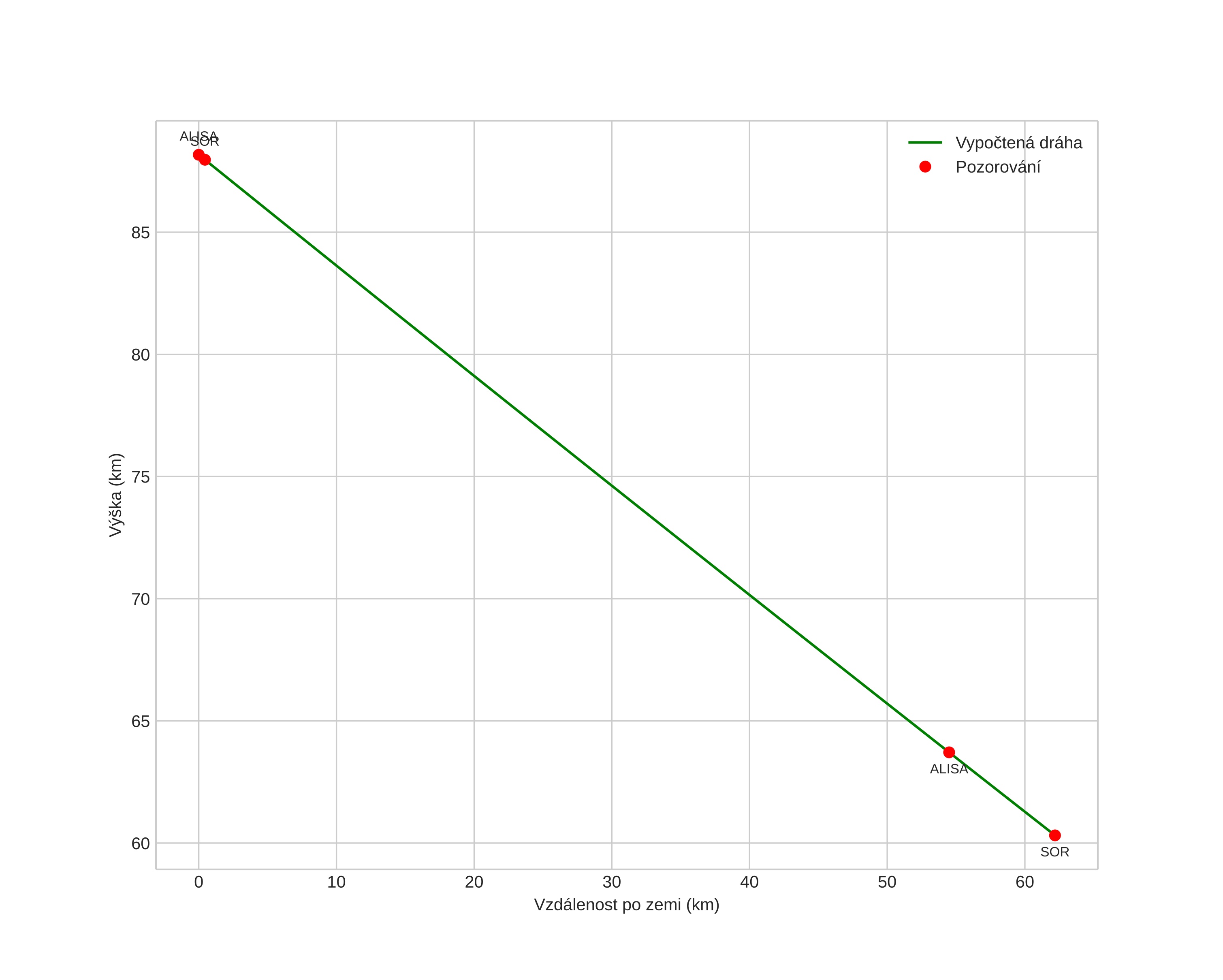
height profile
Atmosférická dráha meteoru:
Počáteční výška: 88,7 km
Konečná výška: 60,2 km
Počáteční poloha: 69,697N 15,974E
Konečná poloha: 69,589N 14,430E
Směr: 259,3°
Sklon: 25,1°
VstupnĂ­ rychlost: 44,7 km/s
Rektascenze radiantu: 07:20 (110,1°)
Deklinace radiantu: 26,1°
MeteorickĂ˝ roj: sporadickĂ˝
Elementy dráhy meteoroidu:
Vzdálenost v periheliu: 0,047 AU
Excentricita: 0,984
Sklon dráhy: 18,7°
Délka vzestupného uzlu: 258,1°
Argument perihelia: 336,9°
Střední anomálie: 353,9°
Epocha: 2019 DEC 10 18:56:52
orbit plot

NeinteraktivnĂ­ graf | InteraktivnĂ­ graf

position vs time
speed and acceleration