🇳🇴 🇬🇧 🇩🇪 🇨🇿 🇫🇮

Meteor, poloha: Sistranda 2019-12-13 17:37:52 UTC

Soubor KML  |  InteraktivnĂ­ mapa

Mapa zobrazuje dráhy meteoru. Světlejší čáry ukazují směry od pozorovacích stanic při objevení se meteoru a tmavší čáry, kde byl naposledy viděn. Modrá šipka značí viditelnou dráhu meteoru.

static map
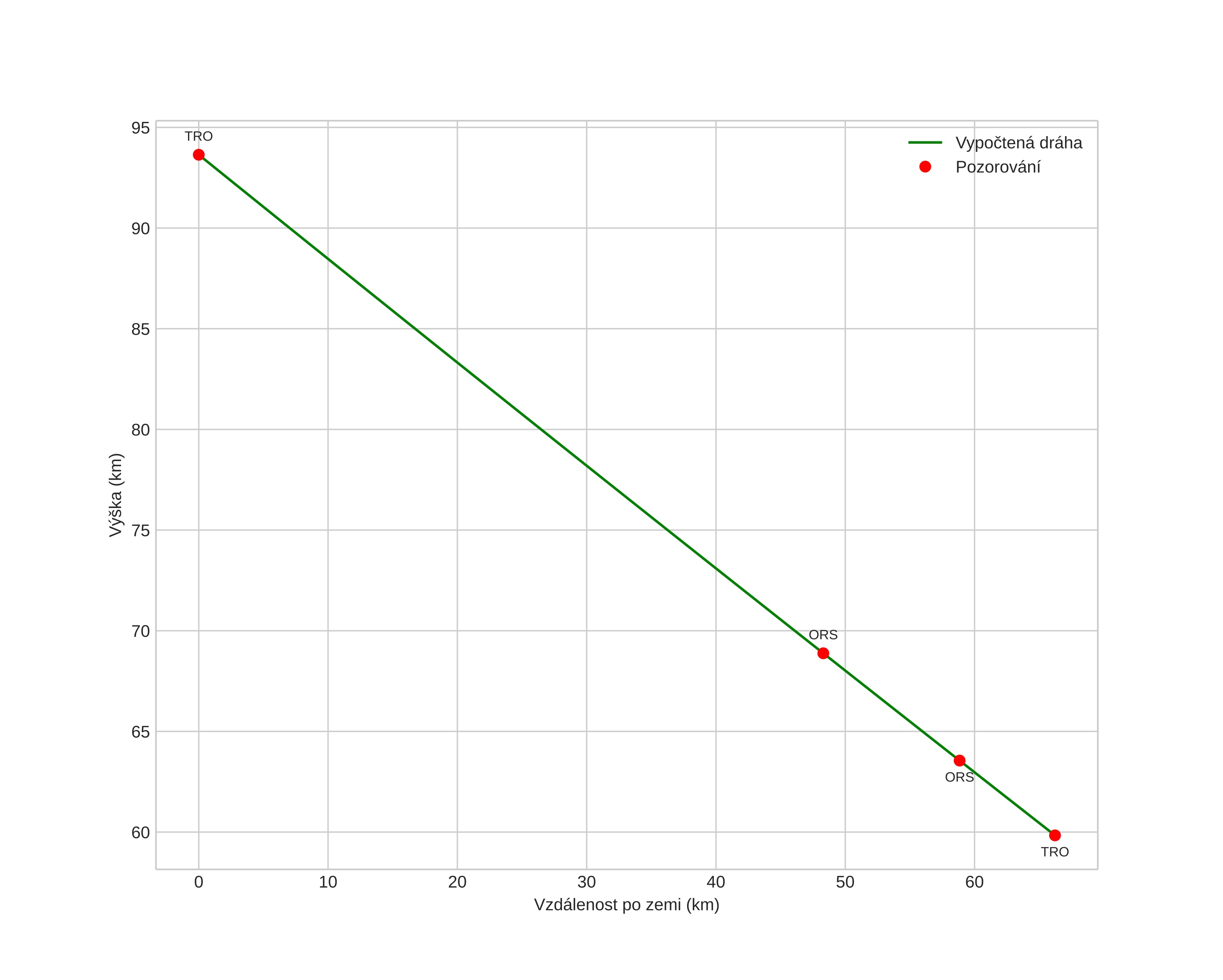
height profile
Atmosférická dráha meteoru:
Počáteční výška: 97,3 km
Konečná výška: 60,1 km
Počáteční poloha: 64,963N 9,777E
Konečná poloha: 64,817N 8,374E
Směr: 256,9°
Sklon: 28,6°
VstupnĂ­ rychlost: 28,2 km/s
Rektascenze radiantu: 05:44 (86,0°)
Deklinace radiantu: 28,9°
MeteorickĂ˝ roj: sporadickĂ˝
Elementy dráhy meteoroidu:
Vzdálenost v periheliu: 0,472 AU
Excentricita: 0,808
Sklon dráhy: 5,0°
Délka vzestupného uzlu: 261,1°
Argument perihelia: 279,5°
Střední anomálie: 349,0°
Epocha: 2019 DEC 13 17:37:52
orbit plot

NeinteraktivnĂ­ graf | InteraktivnĂ­ graf

position vs time
speed and acceleration