🇳🇴 🇬🇧 🇩🇪 🇨🇿 🇫🇮

Meteor, poloha: FosnavĂĄg 2019-12-14 17:27:47 UTC

Soubor KML  |  InteraktivnĂ­ mapa

Mapa zobrazuje dráhy meteoru. Světlejší čáry ukazují směry od pozorovacích stanic při objevení se meteoru a tmavší čáry, kde byl naposledy viděn. Modrá šipka značí viditelnou dráhu meteoru.

static map
height profile
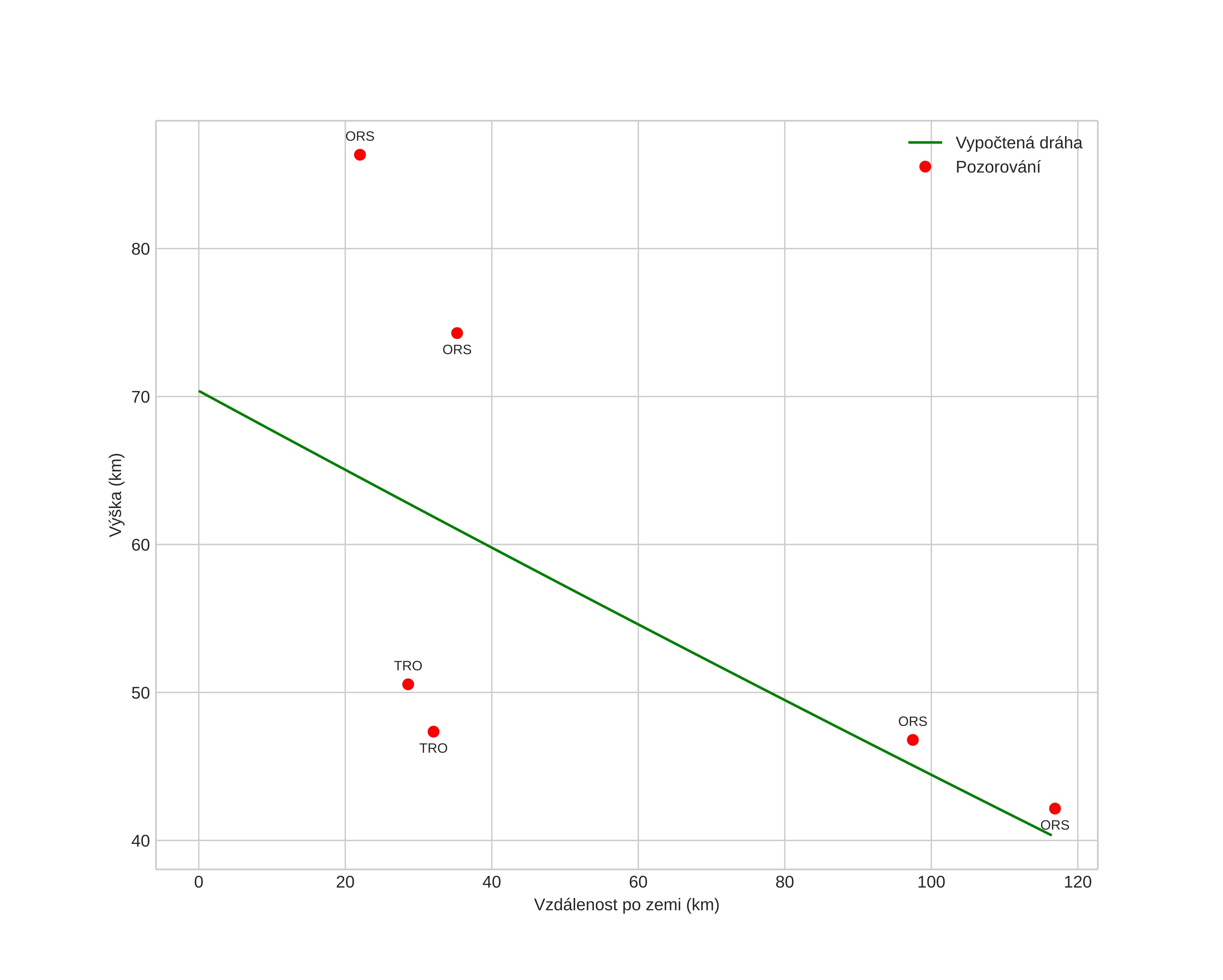
Atmosférická dráha meteoru:
Počáteční výška: 69,7 km
Konečná výška: 41,5 km
Počáteční poloha: 63,236N 7,856E
Konečná poloha: 62,827N 5,689E
Směr: 248,4°
Sklon: 13,4°
VstupnĂ­ rychlost: 16,5 km/s
Rektascenze radiantu: 06:49 (102,5°)
Deklinace radiantu: 9,3°
MeteorickĂ˝ roj: sporadickĂ˝
Elementy dráhy meteoroidu:
Vzdálenost v periheliu: 0,543 AU
Excentricita: 0,396
Sklon dráhy: 6,1°
Délka vzestupného uzlu: 82,2°
Argument perihelia: 125,6°
Střední anomálie: 278,0°
Epocha: 2019 DEC 14 17:27:47
orbit plot

NeinteraktivnĂ­ graf | InteraktivnĂ­ graf

position vs time
speed and acceleration