🇳🇴 🇬🇧 🇩🇪 🇨🇿 🇫🇮

Meteor Fosnavågin yllä 2019-12-15 00:47:28 UTC

KML-tiedosto  |  Interaktiivinen kartta

Kartta näyttää meteorin suuntahavainnot. Vaaleammat viivat näyttävät suunnat havaintoasemilta meteorin ilmestyessä, ja tummemmat viivat näyttävät, missä se viimeksi nähtiin. Sininen nuoli näyttää meteorin näkyvän lennon.

static map
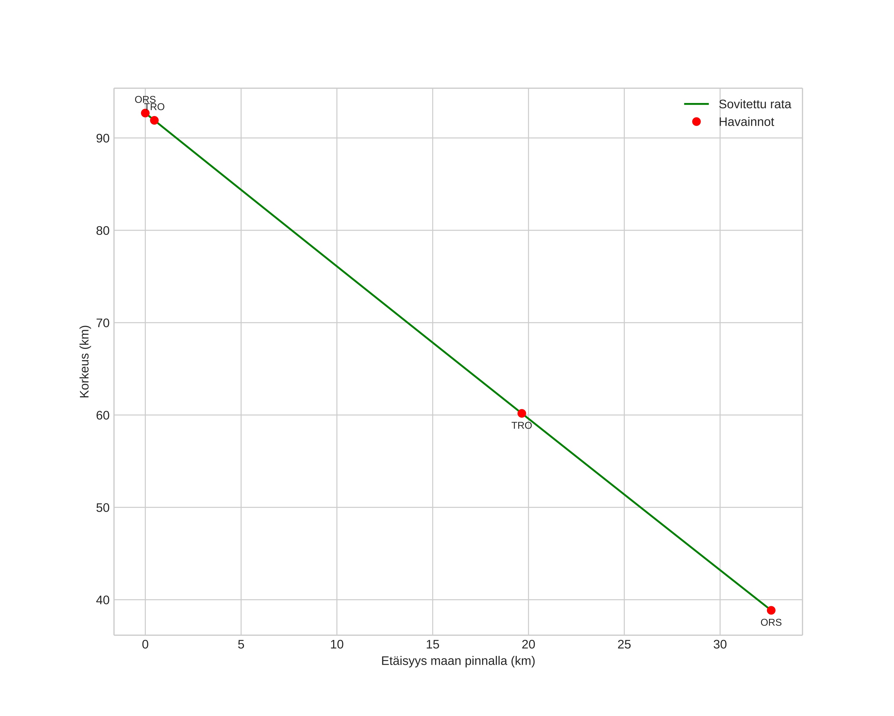
height profile
Meteorin ilmakehärata:
Alkukorkeus: 100,8 km
Loppukorkeus: 51,0 km
Alkupiste: 62,743N 5,779E
Loppupiste: 62,987N 5,556E
Suunta: 337,4°
Kallistuskulma: 59,5°
Tulonopeus: 39,4 km/s
Radiantin R,A,: 07:35 (113,9°)
Radiantin Dekl,: 32,8°
Meteoriparvi: Geminidit
Meteoroidin rataelementit:
Perihelietäisyys: 0,124 AU
Eksentrisyys: 0,930
Inklinaatio: 29,1°
Nousevan solmun pituus: 262,5°
Perihelin argumentti: 324,5°
Keskianomalia: 345,3°
Epookki: 2019 DEC 15 00:47:28
orbit plot

Ei-interaktiivinen kuvaaja | Interaktiivinen kuvaaja

position vs time
speed and acceleration